| Обозначение: |  ГОСТ 6364-78 |
| Статус: | действующий |
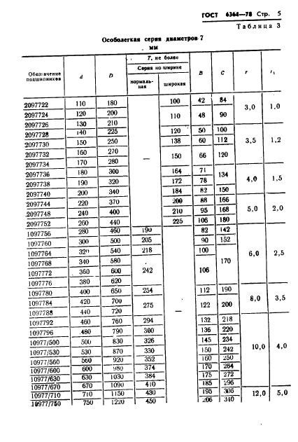
| Название рус.: | Подшипники роликовые конические двухрядные. Основные размеры |
| Название англ.: | Double row tapered roller bearings. Basic dimensions |
| Дата актуализации текста: | 06.04.2015 |
| Дата актуализации описания: | 01.07.2023 |
| Дата издания: | 13.06.1978 |
| Дата введения: | 01.01.1979 |
| Код ОКП: | 462400 |
| Взамен: | ГОСТ 6364-68 |
| Нормативные ссылки: | ГОСТ 520-71; ГОСТ 3325-55 |
| Область применения: | Настоящий стандарт распространяется на роликовые конические двухрядные подшипники с внутренним дистанционным кольцом, предназначенные для восприятия радиальных и осевых нагрузок |
| Список изменений: | №0 от 27.06.1988 (рег. 26.06.1988) «Срок действия продлен» |
|
| Расположен в: |
|