| ||||||||||||||||||||||||||||||||||||||
Скачать ГОСТ 6032-2003 Стали и сплавы коррозионно-стойкие. Методы испытаний на стойкость к межкристаллитной коррозииДата актуализации: 01.06.2025
| ||||||||||||||||||||||||||||||||||||||
| Обозначение: | ![]() ГОСТ 6032-2003 |
| Статус: | заменён |
| Название рус.: | Стали и сплавы коррозионно-стойкие. Методы испытаний на стойкость к межкристаллитной коррозии |
| Название англ.: | Corrosion-resistant steels and alloys. Test methods of intercrystalline corrosion resistance |
| Дата актуализации текста: | 06.04.2015 |
| Дата актуализации описания: | 01.07.2023 |
| Дата регистрации: | 05.12.2003 |
| Дата издания: | 01.06.2008 |
| Дата введения: | 01.01.2005 |
| Дата окончания срока действия: | 01.08.2018 |
| Взамен: | ГОСТ 6032-89 |
| Заменяющий: | ГОСТ 6032-2017 |
| Содержит требования: | ISO 3651-1:1998;ISO 3651-2:1998 |
| Нормативные ссылки: | ГОСТ 859-2001; ГОСТ 1381-73; ГОСТ 2789-73; ГОСТ 3118-77; ГОСТ 3652-69; ГОСТ 3769-78; ГОСТ 3776-78; ГОСТ 4165-78; ГОСТ 4204-77; ГОСТ 4461-77; ГОСТ 4463-76; ГОСТ 4518-75; ГОСТ 5632-72; ГОСТ 6552-80; ГОСТ 6709-72; ГОСТ 6996-66; ГОСТ 9485-74; ГОСТ 9940-81; ГОСТ 9941-81; ГОСТ 11125-84; ГОСТ 12601-76; ГОСТ 14019-2003; ГОСТ 19347-99; ГОСТ 20848-75; ГОСТ 22180-76 |
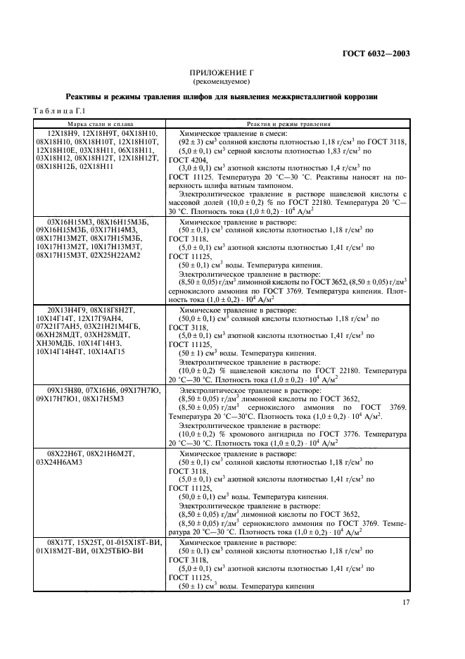
| Область применения: | Настоящий стандарт устанавливает методы испытаний на стойкость к межкристаллитной коррозии металлопродукции из коррозионно-стойких сталей и сплавов, в том числе двухслойных, аустенитного, ферритного, аустенитно-ферритного, аустенитно-мартенситного классов по ГОСТ 5632, а также их сварных соединений и наплавленного металла |
| Расположен в: | |


























