| Обозначение: |  ГОСТ Р 51814.5-2005 |
| Статус: | действующий |
| Название рус.: | Системы менеджмента качества в автомобилестроении. Анализ измерительных и контрольных процессов |
| Название англ.: | Management quality systems for automotive industry. Measurement systems analysis |
| Дата актуализации текста: | 06.04.2015 |
| Дата актуализации описания: | 01.07.2023 |
| Дата издания: | 01.09.2008 |
| Дата введения: | 01.07.2005 |
| Нормативные ссылки: | ГОСТ Р ИСО 5725-1-2002; ГОСТ Р ИСО 5725-2-2002; ГОСТ Р ИСО 5725-3-2002; ГОСТ Р ИСО 9001-2001; ГОСТ Р 51814.1-2004; ГОСТ Р 51814.3-2001 |
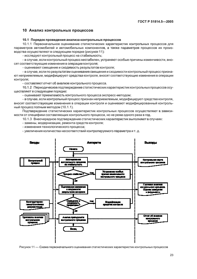
| Область применения: | Настоящий стандарт распространяется на технические объекты автомобилестроения. В стандарте приведены общие рекомендации по применению статистических методов для анализа измерительных и контрольных процессов. Стандарт рекомендуется применять при разработке стандартов предприятия, руководств, методик и иных документов в рамках действующей на предприятии системы менеджмента качества |
|
| Расположен в: |
|