| Обозначение: |  ГОСТ Р 25645.167-2005 |
| Статус: | заменён |
| Название рус.: | Космическая среда (естественная и искусственная). Модель пространственно-временного распределения плотности потоков техногенного вещества в космическом пространстве |
| Название англ.: | Space environment (natural and artificial). Model of spatial and time distribution for space debris in LEO |
| Дата актуализации текста: | 06.04.2015 |
| Дата актуализации описания: | 01.07.2023 |
| Дата издания: | 25.04.2005 |
| Дата введения: | 01.01.2006 |
| Дата окончания срока действия: | 01.06.2022 |
| Заменяющий: | ГОСТ Р 25645.167-2022 |
| Нормативные ссылки: | ГОСТ 25645.103-84 |
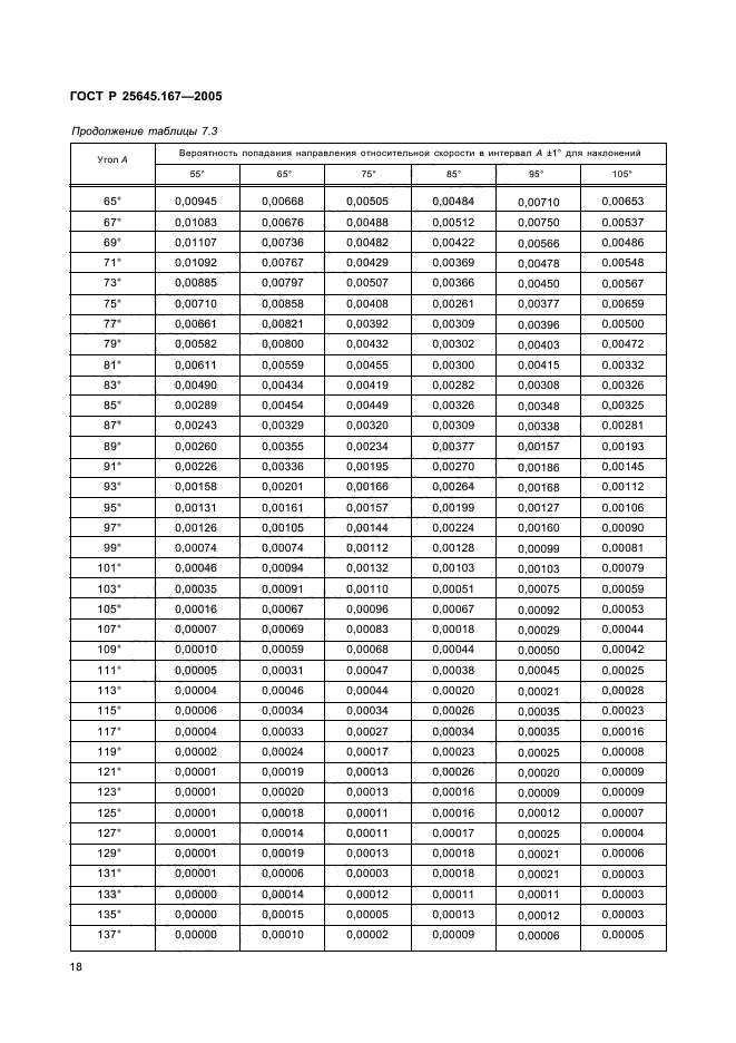
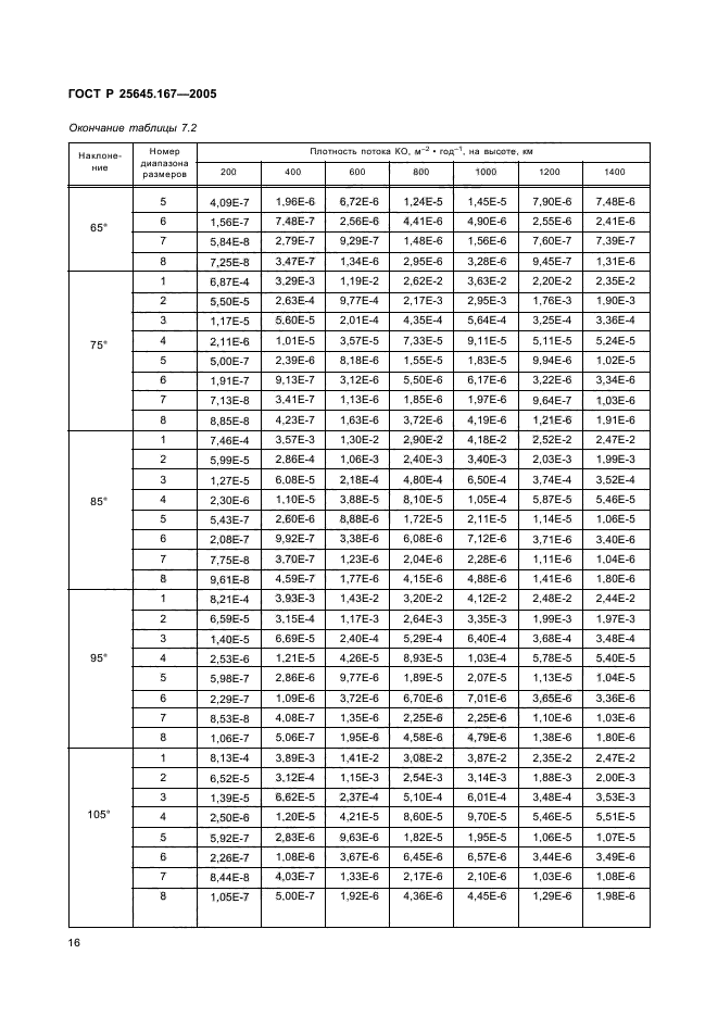
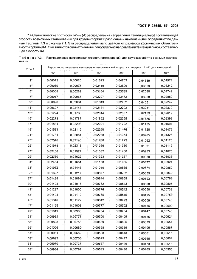
| Область применения: | Настоящий стандарт устанавливает модель пространственно-временного распределения плотности потоков техногенного вещества размером более 0,1 см на удалении от поверхности Земли от 200 до 2000 км в произвольный момент времени с 2000 г. по 2025 г. Стандарт предназначен для: - использования в расчетах при определении условий функционирования и полета космических аппаратов в околоземном пространстве; - разработки мероприятий по обеспечению экологической безопасности при создании и эксплуатации орбитальных средств; - обоснования и оценки эффективности мероприятий и рекомендаций, направленных на ослабление антропогенного воздействия на космическую среду; - обоснования параметров и условий применения наземной и бортовой аппаратуры, предназначенной для измерения характеристик техногенного вещества в околоземном космическом пространстве |
|
| Расположен в: |
|