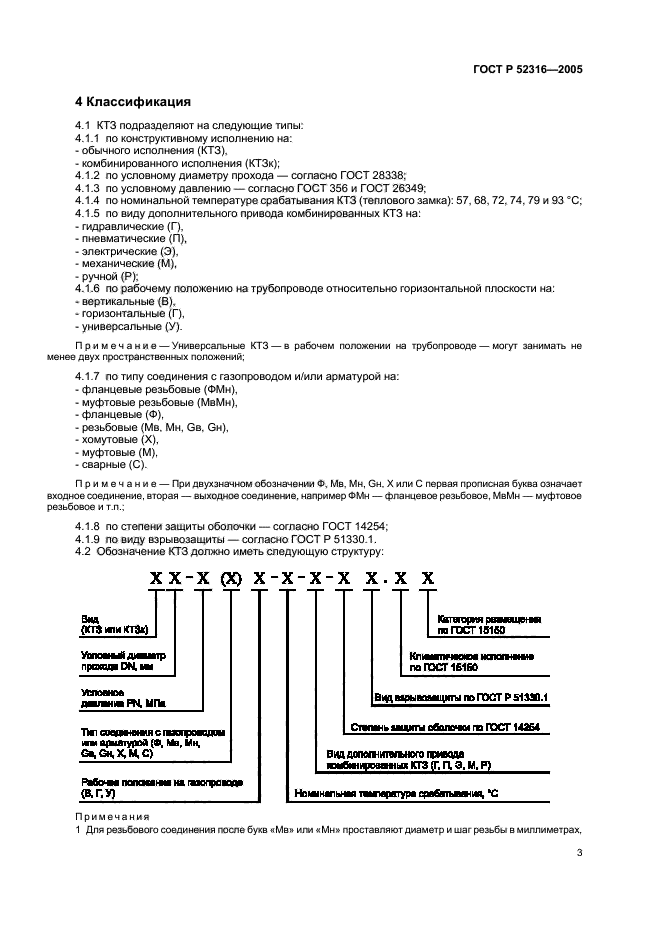
| ||||||||||||||||||||||||||||
Скачать ГОСТ Р 52316-2005 Техника пожарная. Клапаны термозапорные. Общие технические требования. Методы испытанийДата актуализации: 01.06.2025
| ||||||||||||||||||||||||||||
| Обозначение: | ![]() ГОСТ Р 52316-2005 |
| Статус: | действующий |
| Название рус.: | Техника пожарная. Клапаны термозапорные. Общие технические требования. Методы испытаний |
| Название англ.: | Fire equipment. Thermal equipment trips. General technical requirements. Test methods |
| Дата актуализации текста: | 06.04.2015 |
| Дата актуализации описания: | 01.07.2023 |
| Дата издания: | 01.03.2008 |
| Дата введения: | 01.01.2006 |
| Нормативные ссылки: | ГОСТ 2.601-95; ГОСТ 12.2.003-91; ГОСТ 12.2.007.0-75; ГОСТ 12.2.063-81; ГОСТ 356-80; ГОСТ 4666-75; ГОСТ 6357-81; ГОСТ 6527-68; ГОСТ 9697-87; ГОСТ 12815-80; ГОСТ 12816-80; ГОСТ 13955-74; ГОСТ 14192-96; ГОСТ 14254-96; ГОСТ 15150-69; ГОСТ 16039-70; ГОСТ 16504-81; ГОСТ 17433-80; ГОСТ 21130-75; ГОСТ 21752-76; ГОСТ 21753-76; ГОСТ 24193-80; ГОСТ 24194-80; ГОСТ 24705-2004; ГОСТ 26349-84; ГОСТ 26350-84; ГОСТ 28338-89; ГОСТ Р 12.4.026-2001; ГОСТ Р 50460-92; ГОСТ Р 51330.1-99 |
| Область применения: | Настоящий стандарт распространяется на вновь разрабатываемые и выпускаемые термозапорные клапаны для автоматического перекрытия газопроводов при их нагревании во время пожара (КТЗ). Стандарт устанавливает общие технические требования и методы испытаний КТЗ, предназначенных для автоматического перекрытия бытовых и производственных газопроводов, находящихся в зоне внутренних пожаров |
| Расположен в: | |


















