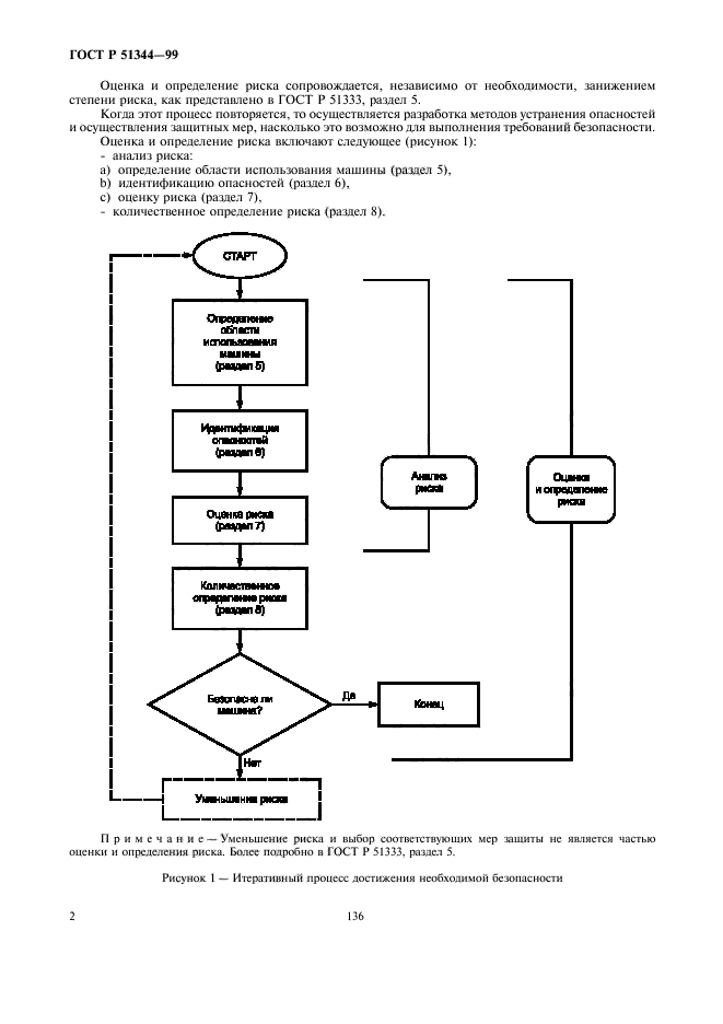
| Обозначение: |  ГОСТ Р 51344-99 |
| Статус: | отменён |
| Название рус.: | Безопасность машин. Принципы оценки и определения риска |
| Название англ.: | Safety of machinery. Principles for risk assessment |
| Дата актуализации текста: | 06.04.2015 |
| Дата актуализации описания: | 01.07.2023 |
| Дата издания: | 01.04.2004 |
| Дата введения: | 01.07.2000 |
| Дата окончания срока действия: | 01.01.2015 |
| Аутентичен стандартам: | EN 1050-96 |
| На территории РФ пользоваться: | ГОСТ ISO 12100-2013 |
| Нормативные ссылки: | IEC 60812(1985);IEC 61025(1990); ГОСТ Р 51333-99; ГОСТ Р МЭК 60204-1-99 |
| Область применения: | Настоящий стандарт устанавливает основные принципы оценки и определения риска, в которых объединены знания и опыт в области конструирования и эксплуатации машин, несчастных случаев, аварий и поражений для того, чтобы определить сумму рисков на всех стадиях жизни машины |
| Список изменений: | №0 от 01.01.2015 (рег. 13.03.2014) «Текстовое изменение; Изменено заглавие» |
|
| Расположен в: |
|