| Обозначение: |    ГОСТ 13040-67 | 
| Статус: | действующий | 
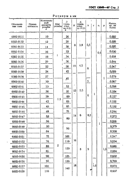
| Название рус.: | Гайки круглые к вспомогательному инструменту. Размеры | 
| Название англ.: | Round nuts for tool holders. Dimensions | 
| Дата актуализации текста: | 06.04.2015 | 
| Дата актуализации описания: | 01.07.2023 | 
| Дата издания: | 01.02.1985 | 
| Дата введения: | 01.01.1968 | 
| Код ОКП: | 396190 | 
| Взамен: | МН 110-63;МН 2618-61 | 
| Взамен в части: | МН 3652-62 в части гайки | 
| Нормативные ссылки: |  ГОСТ 1050-74; ГОСТ 16093-70; ГОСТ 10549-63; ГОСТ 10356-63; ГОСТ 9.073-77; ГОСТ 8381-73; ГОСТ 1759-70 | 
| Область применения: | Настоящий стандарт распространяется на гайки круглые к вспомогательному инструменту. | 
| Список изменений: | №1 от 30.09.1979 (рег. 27.06.1979) «Срок действия продлен» №2 от 30.06.1985 (рег. 12.12.1984) «Срок действия продлен» | 
 | 
| Расположен в: | 
  |