| Обозначение: |    ГОСТ 12489-71 | 
| Статус: | действующий | 
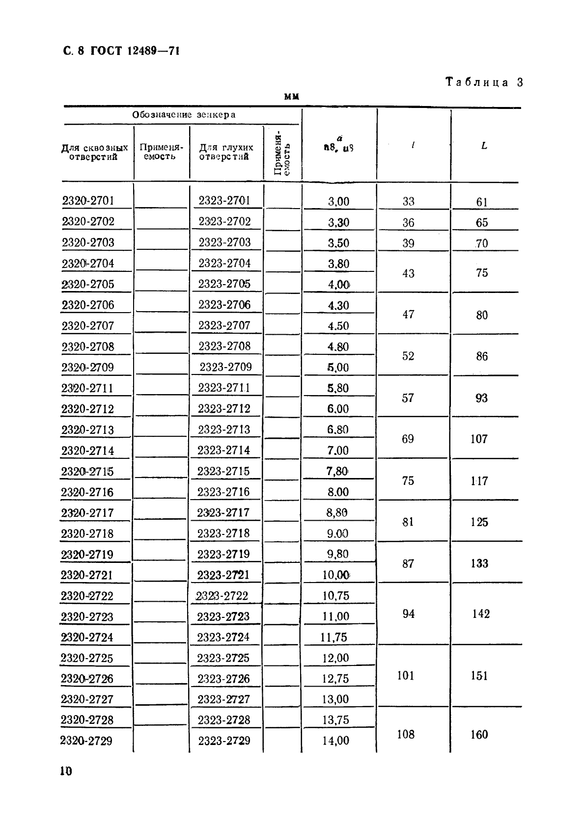
| Название рус.: | Зенкеры цельные. Конструкция и размеры | 
| Название англ.: | Solid counterbores. Types and basic dimensions | 
| Дата актуализации текста: | 06.04.2015 | 
| Дата актуализации описания: | 01.07.2023 | 
| Дата издания: | 01.10.1992 | 
| Дата введения: | 01.07.1972 | 
| Код ОКП: | 391614 | 
| Взамен: |  ГОСТ 12489-67;МН 701-60;МН 702-60;МН 703-60;МН 704-60;МН 705-60;МН 714-60 | 
| Нормативные ссылки: | ISO 7079:1981;ISO 3314:1975; ГОСТ 1677-75; ГОСТ 9472-90; ГОСТ 14034-74; ГОСТ 25557-82 | 
| Область применения: | Настоящий стандарт распространяется на цельные зенкеры с цилиндрическим и коническим хвостовиками и насадные зенкеры, предназначенные для обработки отверстий в деталях из чугуна и стали | 
| Список изменений: | №1 от 30.06.1973 (рег. 18.06.1973) «Срок действия продлен» №2 от 30.06.1980 (рег. 03.07.1980) «Срок действия продлен» №3 от 01.01.1985 (рег. 12.12.1983) «Срок действия продлен» №4 от 01.05.1992 (рег. 19.11.1991) «Срок действия продлен» | 
 | 
| Расположен в: | 
  |