| Обозначение: |  ГОСТ 10325-79 |
| Статус: | заменён |
| Название рус.: | Головные уборы меховые. Общие технические условия |
| Название англ.: | Fur and fur trimmtd head-dresses. General specifications |
| Дата актуализации текста: | 06.04.2015 |
| Дата актуализации описания: | 01.07.2023 |
| Дата издания: | 01.01.2002 |
| Дата введения: | 01.01.1981 |
| Дата окончания срока действия: | 01.01.2016 |
| Код ОКП: | 893000 |
| Взамен: | ГОСТ 10325-70; ГОСТ 5.737-71; ГОСТ 5.1195-72 |
| Заменяющий: | ГОСТ 10325-2014 |
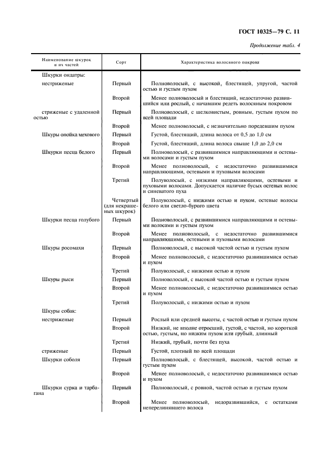
| Область применения: | Настоящий стандарт распространяется на меховы мужские, женские, подростковые и детские головные уборы, изготовленные из меховых шкурок и их частей, мехового велюра и шубной овчины или комбинированные с другими материалами |
| Список изменений: | №1 от 01.12.1983 (рег. 13.07.1983) «Срок действия продлен» №2 от 01.06.1986 (рег. 31.05.1986) «Срок действия продлен» №3 от 01.09.1990 (рег. 12.03.1990) «Срок действия продлен» |
|
| Расположен в: |
|