| ||||||||||||||||||||||||||||||||||||||||||
Скачать ГОСТ 9650-80 Оси. Технические условияДата актуализации: 01.06.2025
| ||||||||||||||||||||||||||||||||||||||||||
| Обозначение: | ![]() ГОСТ 9650-80 |
| Статус: | действующий |
| Название рус.: | Оси. Технические условия |
| Название англ.: | Pins. Specifications |
| Дата актуализации текста: | 01.01.2021 |
| Дата актуализации описания: | 01.07.2023 |
| Дата издания: | 26.05.2004 |
| Дата введения: | 01.01.1982 |
| Код ОКП: | 418800 |
| Взамен: | ГОСТ 9650-71 |
| Содержит требования: | СТ СЭВ 5959-87 |
| Нормативные ссылки: | ISO 2340:1986;ISO 2341:1986; ГОСТ 9.301-86; ГОСТ 9.303-87; ГОСТ 9.306-85; ГОСТ 380-88; ГОСТ 1050-74; ГОСТ 1414-75; ГОСТ 1759.4-87; ГОСТ 2789-73; ГОСТ 4543-71; ГОСТ 5632-72; ГОСТ 7505-74; ГОСТ 9012-59; ГОСТ 9013-59; ГОСТ 9378-75; ГОСТ 10702-78; ГОСТ 11284-75; ГОСТ 17769-83; ГОСТ 18160-72 |
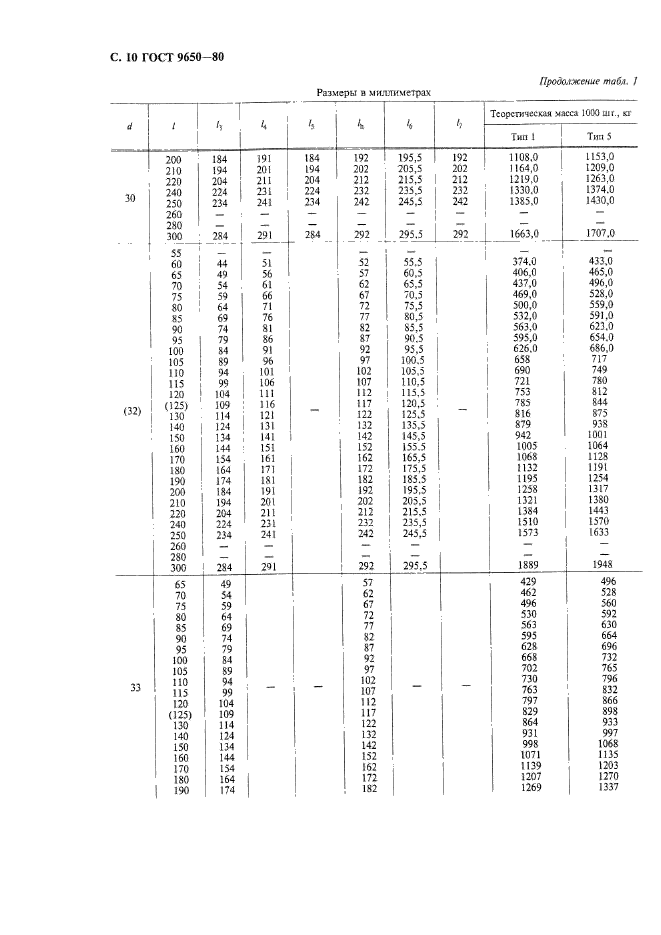
| Область применения: | Настоящий стандарт распространяется на оси с наружным диаметром от 3 до 100 мм с отношением длины к диаметру не более 15 |
| Список изменений: | №0 от 01.06.2006 (рег. 01.06.2006) «Дата введения перенесена» №1 от 01.01.1984 (рег. 29.06.1983) «Срок действия продлен» №2 от 01.01.1989 (рег. 10.05.1988) «Срок действия продлен» |
| Приложение №1: | Поправка к ГОСТ 9650-80 |
| Расположен в: | |
























| Обозначение: | Поправка к ГОСТ 9650-80 |
| Дата введения: | 01.06.2006 |
