| Обозначение: |  ГОСТ 8281-80 |
| Статус: | действующий |
| Название рус.: | Швеллеры стальные гнутые неравнополочные. Сортамент |
| Название англ.: | Roll-formed steel unequal channels Dimensions |
| Дата актуализации текста: | 06.04.2015 |
| Дата актуализации описания: | 01.07.2023 |
| Дата издания: | 01.04.2003 |
| Дата введения: | 01.01.1981 |
| Код ОКП: | 092500 |
| Взамен: | ГОСТ 8281-69 |
| Содержит требования: | СТ СЭВ 106-86 |
| Нормативные ссылки: | ГОСТ 19903-74; ГОСТ 11474-76 |
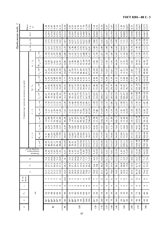
| Область применения: | Настоящий стандарт распространяется на стальные гнутые неравнополочные швеллеры, изготовляемые на профилегибочных станах из горячекатаной рулонной углеродистой обыкновенного качества, углеродистой качественной конструкционной и низколегированной стали |
| Список изменений: | №1 от 01.01.1986 (рег. 28.07.1985) «Срок действия продлен» №2 от 01.07.1988 (рег. 27.10.1987) «Срок действия продлен» |
|
| Расположен в: |
|