| ||||||||||||||||||||||||||||||||||
 Скачать ГОСТ 8777-80 Бочки деревянные заливные и сухотарные. Технические условияДата актуализации: 01.06.2025
 | ||||||||||||||||||||||||||||||||||
| Обозначение: | ![]()   ГОСТ 8777-80 | 
| Статус: | действующий | 
| Название рус.: | Бочки деревянные заливные и сухотарные. Технические условия | 
| Название англ.: | Wooden barrels for liqiud and dry products. Technical requirements | 
| Дата актуализации текста: | 06.04.2015 | 
| Дата актуализации описания: | 01.07.2023 | 
| Дата издания: | 01.05.2008 | 
| Дата введения: | 01.01.1982 | 
| Код ОКП: | 537341 | 
| Взамен: |  ГОСТ 8777-74 | 
| Нормативные ссылки: |  ГОСТ 535-2005; ГОСТ 2140-81; ГОСТ 3242-79; ГОСТ 3282-74; ГОСТ 4028-63; ГОСТ 6009-74; ГОСТ 7016-82; ГОСТ 8821-75; ГОСТ 10303-80; ГОСТ 14192-96; ГОСТ 15612-85; ГОСТ 16588-91; ГОСТ 17308-88; ГОСТ 18211-72; ГОСТ 21100-93 | 
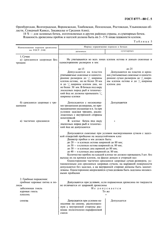
| Область применения: | Настоящий стандарт распространяется на деревянные заливные и сухотарные бочки, предназначенные для упаковывания различной продукции, поставляемой для нужд народного хозяйства и поставки на экспорт | 
| Список изменений: | №1 от 01.02.1984 (рег. 29.09.1983) «Срок действия продлен» №2 от 01.07.1986 (рег. 12.12.1985) «Срок действия продлен» №3 от 01.01.1992 (рег. 04.06.1991) «Срок действия продлен»  | 
| Расположен в: | |














