| ||||||||||||||||||||||||||||||||
Скачать ГОСТ 21459-82 Направляющие съемные для штампов листовой штамповки. Конструкция и размерыДата актуализации: 01.06.2025
| ||||||||||||||||||||||||||||||||
| Обозначение: | ![]() ГОСТ 21459-82 |
| Статус: | действующий |
| Название рус.: | Направляющие съемные для штампов листовой штамповки. Конструкция и размеры |
| Название англ.: | Removable guides for sheet stamping dies. Construction and dimensions |
| Дата актуализации текста: | 06.04.2015 |
| Дата актуализации описания: | 01.07.2023 |
| Дата издания: | 06.07.1982 |
| Дата введения: | 01.07.1983 |
| Код ОКП: | 396330 |
| Взамен: | ГОСТ 21459-75 |
| Нормативные ссылки: | ГОСТ 801-78; ГОСТ 1050-74; ГОСТ 1476-75; ГОСТ 2789-73; ГОСТ 2848-75; ГОСТ 3128-70; ГОСТ 6402-70; ГОСТ 6958-78; ГОСТ 7798-70; ГОСТ 8593-81; ГОСТ 8908-81; ГОСТ 9150-81; ГОСТ 10356-63; ГОСТ 13123-75; ГОСТ 14034-74; ГОСТ 14675-69; ГОСТ 16093-81; ГОСТ 24643-81 |
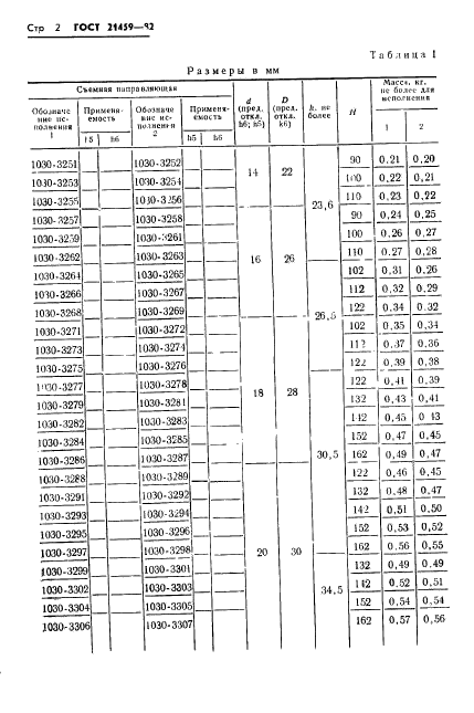
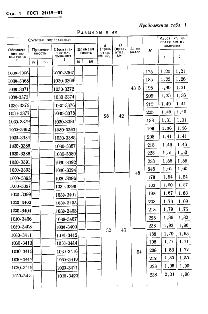
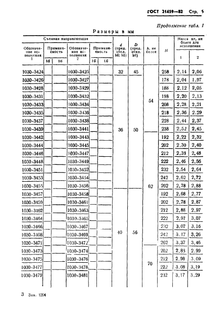
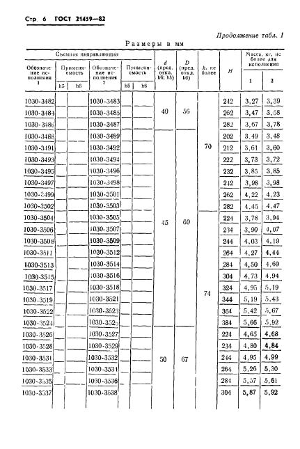
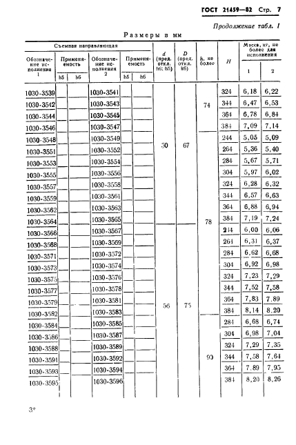
| Область применения: | Настоящий стандарт устанавливает конструкцию и размеры съемных направляющих для штампов листовой штамповки |
| Расположен в: | |












































