| Обозначение: |  ГОСТ Р 51901.5-2005 |
| Статус: | действующий |
| Название рус.: | Менеджмент риска. Руководство по применению методов анализа надежности |
| Название англ.: | Risk management. Guide for application of analysis techniques for dependability |
| Дата актуализации текста: | 06.04.2015 |
| Дата актуализации описания: | 01.07.2023 |
| Дата издания: | 01.12.2005 |
| Дата введения: | 01.02.2006 |
| Содержит требования: | IEC 60300-3-1(2003) |
| Нормативные ссылки: | ГОСТ 27.310-1995; ГОСТ Р ИСО 9000-2001; ГОСТ Р 51901.11-2005; ГОСТ Р 51901.14-2005; ГОСТ Р 51901.15-2005 |
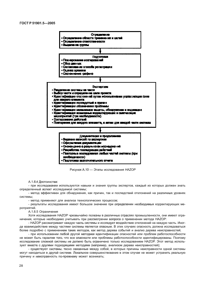
| Область применения: | Настоящий стандарт содержит краткий обзор часто используемых методов анализа надежности. В стандарте приведены описания основных методов и указаны их преимущества и недостатки, входные данные и другие условия использования. Настоящий стандарт является введением в методологию анализа надежности и содержит необходимую информацию для выбора метода |
| Список изменений: | №0 от 01.08.2006 (рег. 01.08.2006) «Дата введения перенесена» |
| Приложение №1: | Поправка к ГОСТ Р 51901.5-2005 |
|
| Расположен в: |
|