| Обозначение: |  ГОСТ Р 50779.73-99 |
| Статус: | заменён |
| Название рус.: | Статистические методы. Процедуры выборочного контроля по альтернативному признаку. Часть 3. Планы выборочного контроля с пропуском партий |
| Название англ.: | Statistical methods. Sampling procedures for inspection by attributes. Part 3. Skip-lot sampling procedures |
| Дата актуализации текста: | 06.04.2015 |
| Дата актуализации описания: | 01.07.2023 |
| Дата издания: | 01.10.2005 |
| Дата введения: | 01.07.2000 |
| Дата окончания срока действия: | 01.12.2010 |
| Заменяющий: | ГОСТ Р ИСО 2859-3-2009 |
| Содержит требования: | ISO 2859-3:1991 |
| Нормативные ссылки: | ГОСТ Р 50779.11-2000; ГОСТ Р 50779.30-95; ГОСТ Р 50779.52-95; ГОСТ Р 50779.71-99; ГОСТ Р ИСО 9001-2001 |
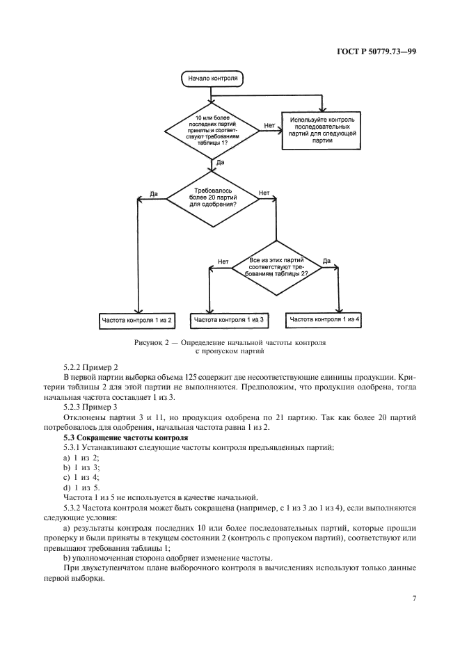
| Область применения: | Настоящий стандарт устанавливает общие процедуры выборочного контроля по альтернативному признаку с пропуском партий для сокращения затрат на контроль, если поставщик продемонстрировал свою способность эффективно управлять всеми аспектами качества и систематически производить партии, соответствующие установленным требованиям. Сокращение затрат на контроль достигается путем отбора из предъявляемых на контроль партий по случайному признаку с заданной вероятностью партий, которые пройдут с контролем или без него |
|
| Расположен в: |
|