| Обозначение: |  ГОСТ 5937-81 |
| Статус: | действующий |
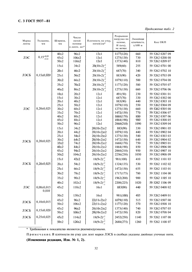
| Название рус.: | Ленты электроизоляционные из стеклянных крученых комплексных нитей. Технические условия |
| Название англ.: | Insulating tapes of glass twisted complex threads. Specifications |
| Дата актуализации текста: | 06.04.2015 |
| Дата актуализации описания: | 01.07.2023 |
| Дата издания: | 01.05.2005 |
| Дата введения: | 01.07.1982 |
| Код ОКП: | 595262 |
| Взамен: | ГОСТ 5937-68 |
| Нормативные ссылки: | ГОСТ 12.1.007-76; ГОСТ 427-75; ГОСТ 6943.0-93; ГОСТ 6943.6-79; ГОСТ 6943.8-79; ГОСТ 6943.10-79; ГОСТ 6943.16-94; ГОСТ 6943.17-94; ГОСТ 6943.18-94; ГОСТ 8325-93; ГОСТ 17308-88; ГОСТ 29101-91 |
| Область применения: | Настоящий стандарт распространяется на тканые ленты из стекляных крученых комплексных нитей, предназначенные для изготовления обмоток электрических машин, аппаратов и проводов |
| Список изменений: | №0 от 19.07.2007 (рег. 19.07.2007) «Дата введения перенесена» №1 от 01.02.1987 (рег. 18.09.1986) «Срок действия продлен» №2 от 01.07.1992 (рег. 27.12.1991) «Срок действия продлен» |
| Приложение №1: | Поправка к ГОСТ 5937-81 |
|
| Расположен в: |
|