| Обозначение: |  ГОСТ 12566-88 |
| Статус: | действующий |
| Название рус.: | Изделия швейные бытового назначения. Определение сортности |
| Название англ.: | Sewing goods for domestic use. Determination of grade |
| Дата актуализации текста: | 06.04.2015 |
| Дата актуализации описания: | 01.07.2023 |
| Дата издания: | 01.01.2006 |
| Дата введения: | 01.01.1990 |
| Код ОКП: | 850000 |
| Взамен: | ГОСТ 12566-81 |
| Нормативные ссылки: | ГОСТ 15.007-88; ГОСТ 4103-82; ГОСТ 23193-78 |
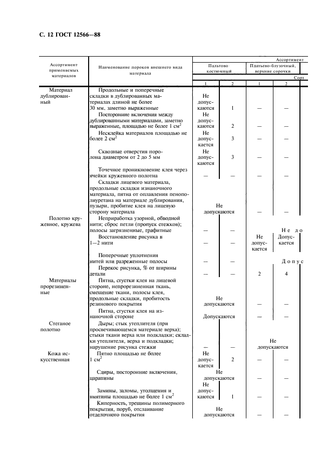
| Область применения: | Настоящий стандарт распространяется на швейные изделия бытового назначения, изготовленные из всех видов материалов, и устанавливает определение их сортности |
| Список изменений: | №1 от 30.04.1992 (рег. 23.12.1991) «Срок действия продлен» |
|
| Расположен в: |
|