| Обозначение: |  ГОСТ 9980.2-86 |
| Статус: | заменён |
| Название рус.: | Материалы лакокрасочные. Отбор проб для испытаний |
| Название англ.: | Paint materials. Test sampling |
| Дата актуализации текста: | 06.04.2015 |
| Дата актуализации описания: | 01.07.2023 |
| Дата издания: | 01.07.2006 |
| Дата введения: | 01.01.1987 |
| Дата окончания срока действия: | 01.03.2016 |
| Заменяющий: | ГОСТ 9980.2-2014 |
| Взамен в части: | ГОСТ 9980-80 в части разд. 2 |
| Содержит требования: | ISO 842:1984;ISO 1512:1974;ISO 1513:1980 |
| Нормативные ссылки: | ГОСТ 2517-85; ГОСТ 5445-79; ГОСТ 6613-86 |
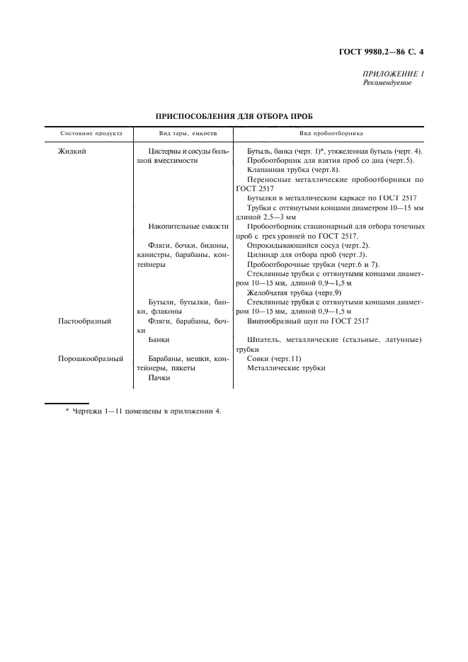
| Область применения: | Настоящий стандарт распространяется на лакокрасочные материалы и устанавливает методы отбора проб для испытаний |
| Список изменений: | №1 от 01.10.1992 (рег. 26.03.1992) «Срок действия продлен» |
|
| Расположен в: |
|