| Обозначение: |  ГОСТ Р 51166-98 |
| Статус: | отменён |
| Название рус.: | Комбикорма для пушных зверей, кроликов и нутрий. Технические условия |
| Название англ.: | Mixed feeds for fur-bearing animals, rabbits and nutrias. Specifications |
| Дата актуализации текста: | 06.04.2015 |
| Дата актуализации описания: | 01.07.2023 |
| Дата издания: | 01.03.2006 |
| Дата введения: | 01.01.1999 |
| Дата окончания срока действия: | 01.01.2016 |
| Код ОКП: | 929600 |
| На территории РФ пользоваться: | ГОСТ 32897-2014 |
| Нормативные ссылки: | ГОСТ 13496.0-80; ГОСТ 13496.2-91; ГОСТ 13496.3-92; ГОСТ 13496.4-93; ГОСТ 13496.7-97; ГОСТ 13496.8-72; ГОСТ 13496.9-96; ГОСТ 13496.13-75; ГОСТ 13496.14-87; ГОСТ 13496.19-93; ГОСТ 13496.20-87; ГОСТ 13496.21-87; ГОСТ 13496.22-90; ГОСТ 21669-76; ГОСТ 22834-87; ГОСТ 23462-95; ГОСТ 26570-95; ГОСТ 26657-97; ГОСТ 26927-86; ГОСТ 26929-94; ГОСТ 26930-86; ГОСТ 26931-86; ГОСТ 26932-86; ГОСТ 26933-86; ГОСТ 26934-86; ГОСТ 28001-88; ГОСТ 28396-89; ГОСТ 28901-91; ГОСТ 28902-91; ГОСТ Р 50817-95; ГОСТ Р 50852-96; ГОСТ Р 51116-97; ГОСТ Р 51418-99; ГОСТ Р 51420-99; ГОСТ Р 51848-2001; ГОСТ Р 51850-2001; ГОСТ Р 51899-2002;ОСТ 10-125-96 |
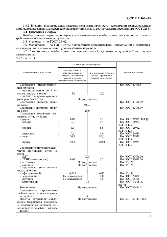
| Область применения: | Настоящий стандарт распространяется на комбикорма для пушных зверей (лисиц, песцов, соболей, норок), кроликов и нутрий, вырабатываемые на предприятиях всех форм собственности. В стандарте изложены обязательные требования к комбикормам, направленные на предупреждение болезней пушных зверей, кроликов и нутрий, выпуск полноценной в ветеринарном отношении продукции и защиту населения от болезней, общих для человека и животных |
| Список изменений: | №0 от 01.01.2016 (рег. 29.09.2014) «Текстовое изменение; Изменено заглавие» №1 от 01.07.2000 (рег. 17.11.1999) «Срок действия продлен» №2 от 01.01.2002 (рег. 07.05.2001) «Текстовое изменение; Изменены ссылочные НД» |
| Приложение №1: | Изменение №2 к ГОСТ Р 51166-98 |
|
| Расположен в: |
|