| Обозначение: |  ГОСТ Р 52486-2005 |
| Статус: | заменён |
| Название рус.: | Материалы лакокрасочные. Определение содержания летучих органических соединений (ЛОС). Газохроматографический метод |
| Название англ.: | Paint materials. Determination of volatile organic compound (VOC) content. Gas-chromatographic method |
| Дата актуализации текста: | 06.04.2015 |
| Дата актуализации описания: | 01.07.2023 |
| Дата издания: | 12.04.2006 |
| Дата введения: | 01.01.2007 |
| Дата окончания срока действия: | 01.07.2011 |
| Заменяющий: | ГОСТ Р 52486-2010 |
| Содержит требования: | ISO 11890-2:2000 |
| Нормативные ссылки: | ГОСТ Р ИСО 5725-1-2002; ГОСТ Р ИСО 5725-2-2002; ГОСТ Р 52485-2005; ГОСТ 9980.2-86; ГОСТ 14870-77; ГОСТ 28246-2005; ГОСТ 28513-90 |
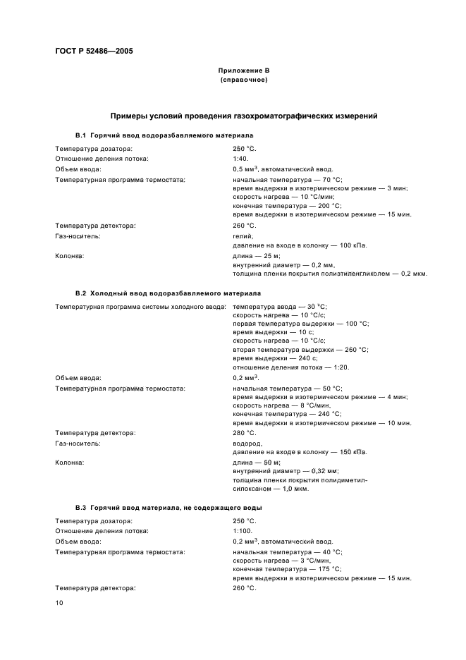
| Область применения: | Настоящий стандарт входит в серию стандартов на отбор проб и проведение испытаний лакокрасочных материалов. Стандарт устанавливает метод определения содержания летучих органических соединений (ЛОС) в лакокрасочных материалах и сырье. Настоящий метод применяют при ожидаемой массовой доле ЛОС от 0,1% до 15%. Если ожидаемая массовая доля ЛОС более 15%, применяют более простой метод по ГОСТ Р 52485. Метод основан на предположении, что летучие вещества являются водой или органическими соединениями. Когда в лакокрасочном материале присутствуют другие летучие неорганические соединения, их содержание определяют другим болеее подходящим методом и учитывают результаты такого определения при расчетах |
|
| Расположен в: |
|