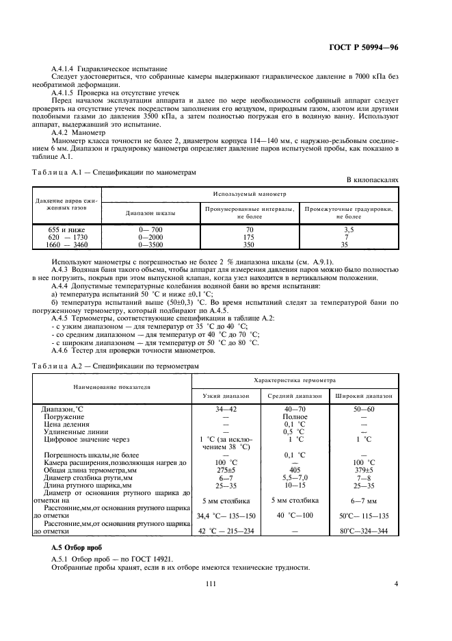
| Обозначение: |  ГОСТ Р 50994-96 |
| Статус: | отменён |
| Название рус.: | Газы углеводородные сжиженные. Метод определения давления насыщенных паров |
| Название англ.: | Liquefied petroleum gases. Determination of gauge vapour pressure. LPG method |
| Дата актуализации текста: | 06.04.2015 |
| Дата актуализации описания: | 01.06.2025 |
| Дата издания: | 01.03.2006 |
| Дата введения: | 01.07.1997 |
| Дата окончания срока действия: | 23.01.2025 |
| Содержит требования: | ISO 4256:1978 |
| Нормативные ссылки: | ГОСТ 2405-88; ГОСТ 14921-78 |
| Область применения: | Настоящий стандарт распространяется на сжиженные углеводородные газы и широкую фракцию легких углеводородов, содержащие углеводороды С2 - С6, и устанавливает метод определения манометрического давления насыщенных паров |
|
| Расположен в: |
|