Информационная система
«Ёшкин Кот»

Скачать базу одним архивом
Скачать обновления
История создания базы
Карта сайта

Скачать ГОСТ ИСО 8124-3-2001 Игрушки. Общие требования безопасности и методы испытаний. Выделение вредных для здоровья ребенка элементов

Дата актуализации: 01.06.2025

ГОСТ ИСО 8124-3-2001

Игрушки. Общие требования безопасности и методы испытаний. Выделение вредных для здоровья ребенка элементов

Обозначение: ГОСТ ИСО 8124-3-2001
Статус:заменён
Название рус.:Игрушки. Общие требования безопасности и методы испытаний. Выделение вредных для здоровья ребенка элементов
Название англ.:Toys. General safety requirements and methods of tests. Emission of toxic for children elements
Дата актуализации текста:06.04.2015
Дата актуализации описания:01.07.2023
Дата регистрации:02.11.2001
Дата издания:16.06.2006
Дата введения:01.06.2006
Дата окончания срока действия:01.01.2016
Заменяющий:ГОСТ ISO 8124-3-2014
Аутентичен стандартам:ISO 8124-3:1997;ГОСТ Р ИСО 8124-3-99
Нормативные ссылки:ГОСТ 1770-74;ГОСТ 3118-77;ГОСТ 3826-82;ГОСТ 4328-77;ГОСТ 5963-67;ГОСТ 6709-72;ГОСТ 25336-82;ГОСТ 25794.1-83;ГОСТ 29227-91;ГОСТ Р 51723-2001
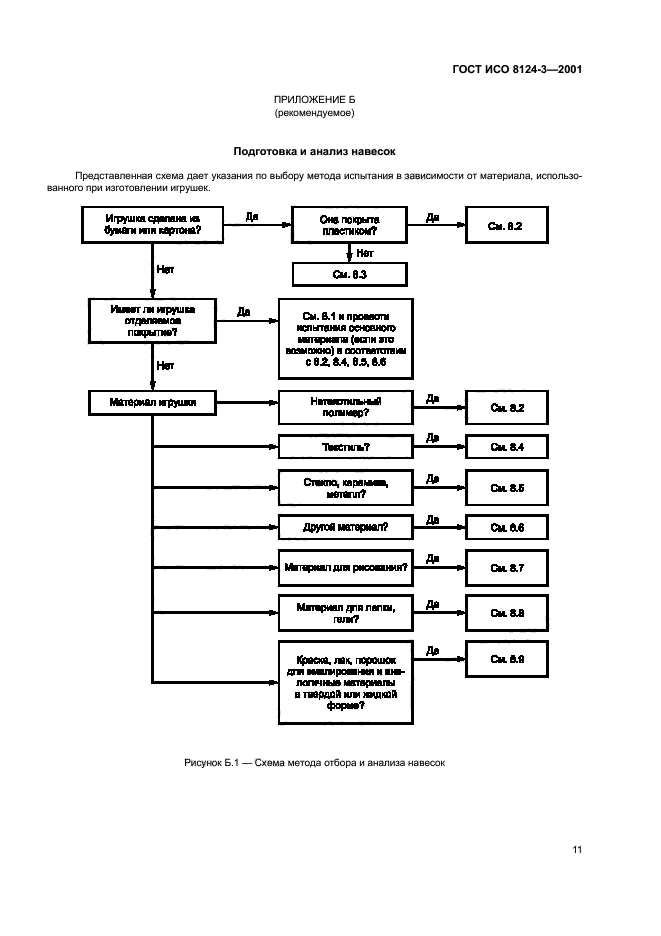
Область применения:Настоящий стандарт устанавливает требования и методы контроля выделения вредных для здоровья ребенка элементов (сурьма, мышьяк, барий, кадмий, хром, свинец, ртуть и селен), содержащихся в материалах игрушки и ее составных частях, за исключением недоступных для контакта материалов. Требования настоящего стандарта распространяются на растворимые соединения этих элементов и не нормируют их общее содержание в материалах игрушки. Настоящий стандарт распространяется на следующие материалы игрушек: - покрытия из красок, лаков, глазури, типографской краски, полимеров и аналогичных материалов; - полимеры и подобные им материалы, включая слоистые пластики, в том числе дублированные текстильные материалы; - бумага и картон поверхностной плотностью до 400 г/м кв.; - ткани, натуральные и синтетические; - стекло, керамика, металлические материалы; - другие материалы, окрашенные или неокрашенные (дерево, фанера, кожа, кость, твердый картон); - материалы для рисования (графитовые стержни, жидкие чернила для ручек); - материалы для лепки, включая специальные пасты и гели; - краски, лаки, глазурь, порошки и другие аналогичные вещества для нанесения покрытий, присутствующие в игрушке в твердом или жидком состоянии. Настоящий стандарт не применяется для игрушек или деталей игрушек, которые исключают возможность проникания токсичных элементов в организм ребенка, поскольку он не будет брать их в рот (исходя из назначения, веса, размера, других характеристик, а также, учитывая предполагаемое обращение ребенка с игрушкой такого типа)
Расположен в:Государственные стандарты Общероссийский классификатор стандартов Бытовая техника и торговое оборудование. Отдых. Спорт Оборудование для отдыха Игрушки Классификатор государственных стандартов Изделия культурно-бытового назначения Оборудование, инвентарь и принадлежности театрально-зрелищных предприя Игрушки, игры Технические регламенты Таможенного союза О безопасности игрушек Перечень стандартов, в результате применения которых на добровольной основе обеспечивается соблюдение требований технического регламента Таможенного союза «О безопасности игрушек» Перечень стандартов, содержащих правила и методы исследований и измерений, в том числе правила отбора образцов, необходимых для применения и исполнения требований технического регламента Таможенного союза «О безопасности игрушек» и осуществления оценки...
ГОСТ ИСО 8124-3-2001ГОСТ ИСО 8124-3-2001ГОСТ ИСО 8124-3-2001ГОСТ ИСО 8124-3-2001ГОСТ ИСО 8124-3-2001ГОСТ ИСО 8124-3-2001ГОСТ ИСО 8124-3-2001ГОСТ ИСО 8124-3-2001ГОСТ ИСО 8124-3-2001ГОСТ ИСО 8124-3-2001ГОСТ ИСО 8124-3-2001ГОСТ ИСО 8124-3-2001ГОСТ ИСО 8124-3-2001ГОСТ ИСО 8124-3-2001ГОСТ ИСО 8124-3-2001ГОСТ ИСО 8124-3-2001ГОСТ ИСО 8124-3-2001ГОСТ ИСО 8124-3-2001ГОСТ ИСО 8124-3-2001

© 2013 Ёшкин Кот :-) Карта сайта