| Обозначение: |  ГОСТ 8484-82 |
| Статус: | действующий |
| Название рус.: | Плиты подоконные железобетонные для производственных зданий. Конструкция и размеры |
| Название англ.: | Reinforced concrete window stools for production buildings. Design and dimensions |
| Дата актуализации текста: | 06.04.2015 |
| Дата актуализации описания: | 01.07.2023 |
| Дата издания: | 11.02.1983 |
| Дата введения: | 01.07.1983 |
| Код ОКП: | 589420 |
| Взамен в части: | ГОСТ 8484-71, кроме типов и основных размеров плит |
| Нормативные ссылки: | ГОСТ 6785-80; ГОСТ 14098-68; ГОСТ 10922-75;СН 393-78 |
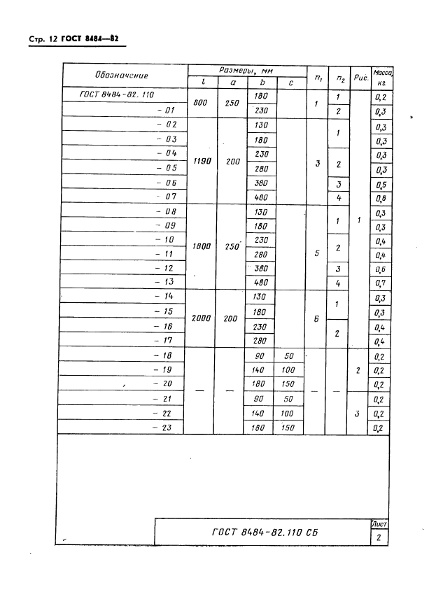
| Область применения: | Настоящий стандарт распространяется на подоконные железобетонные плиты, предназначаемые для применения в оконных проемах стен производственных зданий, и устанавливает конструкцию и размеры плит |
|
| Расположен в: |
|