| Обозначение: |  ГОСТ 8282-83 |
| Статус: | заменён |
| Название рус.: | Профили стальные гнутые С-образные равнополочные. Сортамент |
| Название англ.: | Bent-steel С-shaped equal flange sections. Dimensions |
| Дата актуализации текста: | 06.04.2015 |
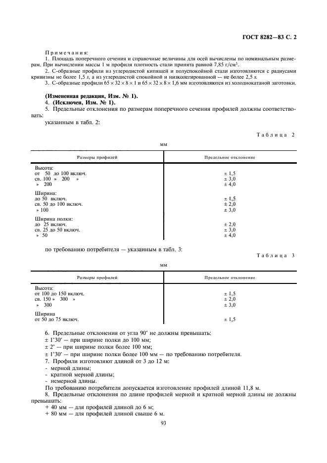
| Дата актуализации описания: | 01.07.2023 |
| Дата издания: | 01.04.2003 |
| Дата введения: | 01.01.1984 |
| Дата окончания срока действия: | 01.10.2022 |
| Код ОКП: | 112000 |
| Взамен: | ГОСТ 8282-76 |
| Заменяющий: | ГОСТ 8282-2022 |
| Область применения: | Настоящий стандарт устанавливает сортамент гнутых С-образных равноплочных профилей, изготовленных на профилегибочных станах из холоднокатаной и горячекатаной стали обыкновенного качества, углеродистой качественной и низколегированной |
| Список изменений: | №1 от 01.10.1988 (рег. 14.03.1988) «Срок действия продлен» |
|
| Расположен в: |
|