| Обозначение: |  ГОСТ Р 51270-99 |
| Статус: | отменён |
| Название рус.: | Изделия пиротехнические. Общие требования безопасности |
| Название англ.: | Pyrotechnic goods. General safety requirements |
| Дата актуализации текста: | 06.04.2015 |
| Дата актуализации описания: | 01.07.2023 |
| Дата издания: | 09.03.2011 |
| Дата введения: | 01.01.2000 |
| Дата окончания срока действия: | 01.01.2023 |
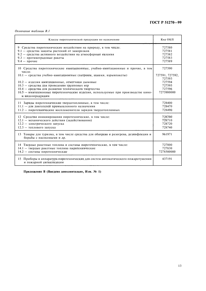
| Код ОКП: | 727500 |
| На территории РФ пользоваться: | ГОСТ 33732-2016 |
| Нормативные ссылки: | ГОСТ 2.102-68; ГОСТ 2.114-95; ГОСТ 19433-88; ГОСТ Р 51271-99; ГОСТ 17527-2003; ГОСТ Р 12.4.026-2001 |
| Область применения: | Настоящий стандарт распространяется на пиротехническую продукцию промышленного и бытового назначения и устанавливает общие требования безопасности, обязательные при разработке, сертификации, реализации и использовании этой продукции |
| Список изменений: | №1 от 30.06.2010 (рег. 10.06.2010) «Текстовое изменение; Изменены ссылочные НД» |
| Приложение №1: | Изменение №1 к ГОСТ Р 51270-99 |
|
| Расположен в: |
|