| Обозначение: |  ГОСТ 11694-66 |
| Статус: | действующий |
| Название рус.: | Жмых конопляный. Технические условия |
| Название англ.: | Hempseed cake. Specifications |
| Дата актуализации текста: | 06.04.2015 |
| Дата актуализации описания: | 01.07.2023 |
| Дата издания: | 01.01.2002 |
| Дата введения: | 01.07.1966 |
| Код ОКП: | 914612 |
| Взамен: | ОСТ НКПП 382 |
| Заменяющий в части: | ГОСТ 13979.0-86 в части разд. 1а |
| Нормативные ссылки: | ГОСТ 13979.0-68; ГОСТ 13979.8-68; ГОСТ 13979.10-69; ГОСТ 13979.1-68; ГОСТ 13979.2-68; ГОСТ 13979.3-68; ГОСТ 13979.4-68; ГОСТ 13979.5-68; ГОСТ 13979.6-68; ГОСТ 13979.7-68 |
| Область применения: | Настоящий стандарт распространяется на конопляный жмых, получаемый при отжиме масла на шнековых прессах из предварительно обработанных семян конопли |
| Список изменений: | №1 от 01.11.1984 (рег. 21.05.1984) «Срок действия продлен» №2 от 01.07.1986 (рег. 08.01.1986) «Срок действия продлен» №3 от 01.09.1988 (рег. 26.04.1988) «Срок действия продлен» №4 от 01.05.1989 (рег. 14.10.1988) «Срок действия продлен» |
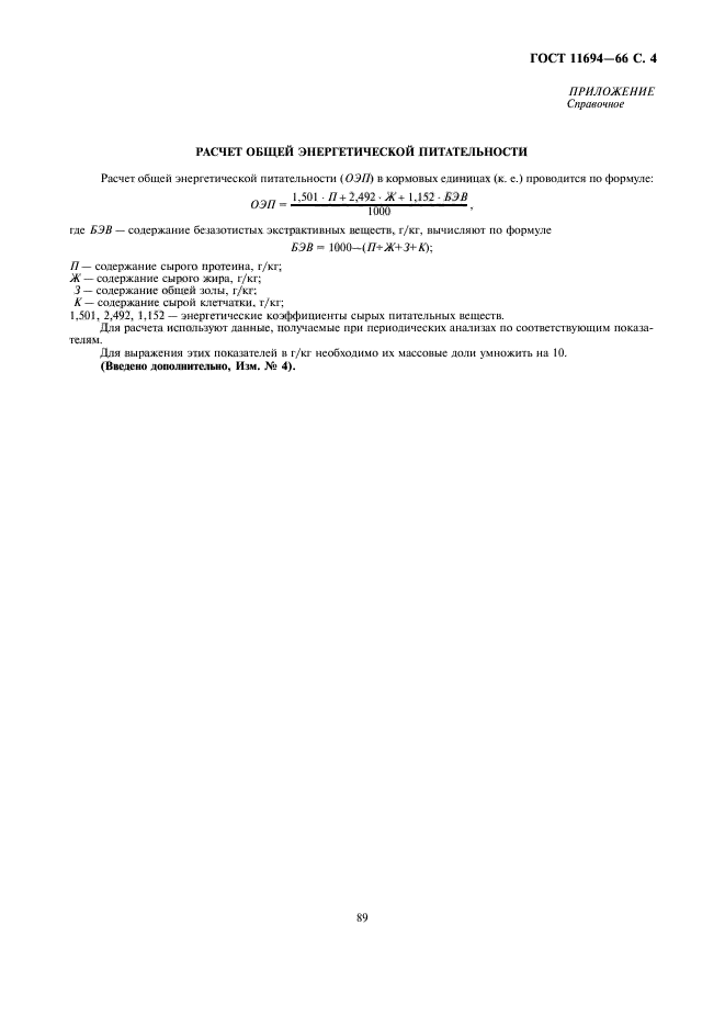
|
| Расположен в: |
|