| Обозначение: |  ГОСТ 11112-70 |
| Статус: | действующий |
| Название рус.: | Колеса с массивными резиновыми шинами безрельсового транспорта. Типы. Основные параметры и размеры |
| Название англ.: | Wheels with solid rubber tyres of railless transport. Types. Basic parameters and dimensions |
| Дата актуализации текста: | 06.04.2015 |
| Дата актуализации описания: | 01.01.2021 |
| Дата издания: | 01.11.1985 |
| Дата введения: | 01.01.1971 |
| Код ОКП: | 317110 |
| Взамен: | ГОСТ 11112-64 |
| Нормативные ссылки: | ГОСТ 13524-68 |
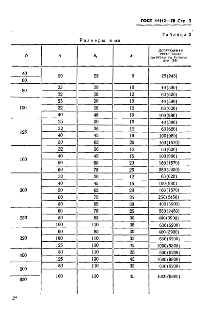
| Область применения: | Настоящий стандарт распространяется на колеса с массивными резиновыми шинами безрельсового транспорта с допускаемой статической нагрузкой на колесо от 25 до 4000 кгс (от 250 до 39000 Н), предназначенные для передвижного оборудования. Стандарт не распространяется на поворотные и неповоротные колеса со стержнем и площадкой, предназначенные для медицинского оборудования |
| Список изменений: | №1 от 01.12.1974 (рег. 01.12.1974) «Срок действия продлен» №2 от 01.03.1985 (рег. 01.03.1985) «Срок действия продлен» |
|
| Расположен в: |
|