| Обозначение: |    ГОСТ 13115-75 | 
| Статус: | действующий | 
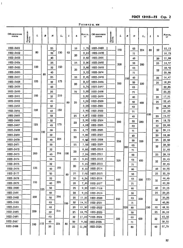
| Название рус.: | Плиты-заготовки с полками по ширине плиты для штампов листовой штамповки. Конструкция и размеры | 
| Название англ.: | Die plates with shelves located along the width of cold plastic working dies. Construction and dimensions | 
| Дата актуализации текста: | 06.04.2015 | 
| Дата актуализации описания: | 01.01.2021 | 
| Дата издания: | 01.03.1986 | 
| Дата введения: | 01.01.1977 | 
| Код ОКП: | 396300;396913 | 
| Взамен: |  ГОСТ 13115-67 | 
| Область применения: | Настоящий стандарт устанавливает конструкцию и размеры плит с полками для штампов листовой штамповки | 
| Список изменений: | №1 от 01.07.1981 (рег. 27.02.1981) «Срок действия продлен» №2 от 30.06.1985 (рег. 19.12.1984) «Срок действия продлен» | 
 | 
| Расположен в: | 
  |