| Обозначение: |  ГОСТ 7601-78 |
| Статус: | не действует в РФ |
| Название рус.: | Физическая оптика. Термины, буквенные обозначения и определения основных величин |
| Название англ.: | Physical optics. Terms, letter symbols and definitions of basic quantities |
| Дата актуализации текста: | 06.04.2015 |
| Дата актуализации описания: | 01.06.2024 |
| Дата издания: | 01.11.1998 |
| Дата введения: | 01.01.1980 |
| Дата окончания срока действия: | 01.03.2024 |
| Взамен: | ГОСТ 7601-55 |
| Заменяющий в части: | ГОСТ 26148-84 в части терминов пп. 27 - 32, 35а, 36 - 44, 46 - 48, 50, 70, 71 |
| На территории РФ пользоваться: | ГОСТ Р 70973-2023 |
| Нормативные ссылки: | ISO 31-6:1980; ГОСТ 26148-84 |
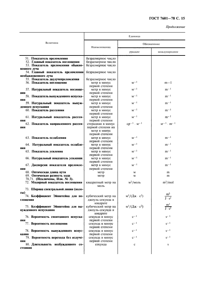
| Область применения: | Настоящий стандарт устанавливает применяемые в науке, технике и производстве термины, буквенные обозначения и определения основных величин физической оптики |
| Список изменений: | №1 от 01.01.1982 (рег. 14.05.1981) «Срок действия продлен» №2 от 01.02.1984 (рег. 31.10.1983) «Срок действия продлен» №3 от 01.01.1986 (рег. 25.07.1985) «Срок действия продлен» |
|
| Расположен в: |
|