| Обозначение: |  ГОСТ 7157-79 |
| Статус: | действующий |
| Название рус.: | Калибры для трубной конической резьбы. Типы. Основные размеры и допуски |
| Название англ.: | Gauges for pine taper thread. Types. Basic dimensions and tolerances |
| Дата актуализации текста: | 06.04.2015 |
| Дата актуализации описания: | 01.07.2023 |
| Дата издания: | 01.07.2003 |
| Дата введения: | 01.01.1981 |
| Код ОКП: | 393153 |
| Взамен: | ГОСТ 7157-69 |
| Содержит требования: | СТ СЭВ 606-77 |
| Нормативные ссылки: | ГОСТ 2533-88; ГОСТ 6211-81; ГОСТ 6357-81 |
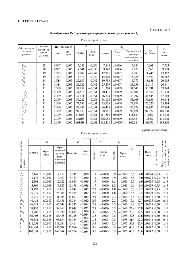
| Область применения: | Настоящий стандарт распространяется на калибры для контроля трубной конической резьбы |
| Список изменений: | №1 от 01.01.1991 (рег. 25.01.1990) «Срок действия продлен» |
|
| Расположен в: |
|