| Обозначение: |  ГОСТ 11290-80 |
| Статус: | действующий |
| Название рус.: | Фрезы дереворежущие дисковые пазовые. Технические условия |
| Название англ.: | Woodworking disk grooving cutters |
| Дата актуализации текста: | 06.04.2015 |
| Дата актуализации описания: | 01.07.2023 |
| Дата издания: | 01.04.1994 |
| Дата введения: | 01.01.1983 |
| Код ОКП: | 395213 |
| Взамен: | ГОСТ 11290-74 |
| Нормативные ссылки: | ГОСТ 8.051-81; ГОСТ 9.014-78; ГОСТ 9.301-86; ГОСТ 69-75; ГОСТ 2789-73; ГОСТ 5950-73; ГОСТ 6449.1-82; ГОСТ 6631-74; ГОСТ 6735-73; ГОСТ 7016-82; ГОСТ 9013-59; ГОСТ 9378-75; ГОСТ 9685-61; ГОСТ 18088-83; ГОСТ 23677-79; ГОСТ 23726-79 |
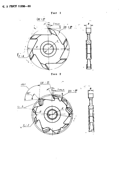
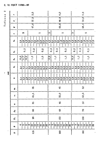
| Область применения: | Настоящий стандарт распространяется на насадные цельные пазовые дисковые дереворежущие фрезы, изготовляемые для нужд народного хозяйства и экспорта, предназначенные для получения прямоугольных пазов в древесине на фрезерных и четырехсторонних строгальных станках и автоматических линиях |
| Список изменений: | №1 от 01.01.1988 (рег. 24.06.1987) «Срок действия продлен» №2 от 01.06.1989 (рег. 29.11.1988) «Срок действия продлен» №3 от 01.07.1994 (рег. 01.07.1994) «Срок действия продлен» |
|
| Расположен в: |
|