| Обозначение: |  ГОСТ 9324-80 |
| Статус: | заменён |
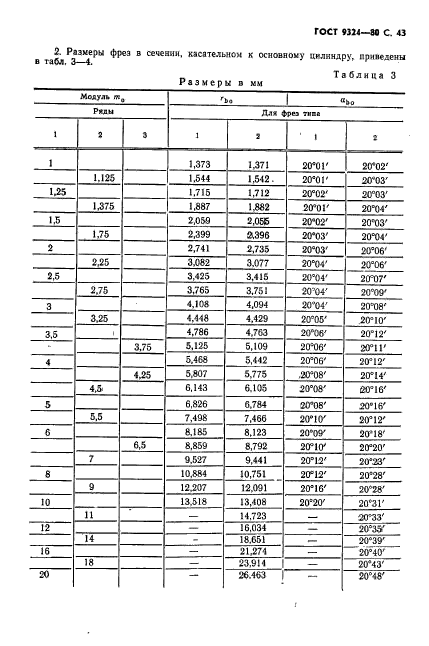
| Название рус.: | Фрезы червячные чистовые однозаходные для цилиндрических зубчатых колес с эвольвентным профилем. Технические условия |
| Название англ.: | Finishing single start hobbing cutters for cylindrical involute gears |
| Дата актуализации текста: | 06.04.2015 |
| Дата актуализации описания: | 01.01.2021 |
| Дата издания: | 01.10.1987 |
| Дата введения: | 01.01.1982 |
| Дата окончания срока действия: | 01.01.2017 |
| Код ОКП: | 391814 |
| Взамен: | ГОСТ 9324-60 |
| Заменяющий: | ГОСТ 9324-2015 |
| Область применения: | Настоящий стандарт распространяется на червячные чистовые фрезы для обработки зубчатых колес с эвольвентным профилем, изготовляемые для нужд народного хозяйства и на экспорт |
| Список изменений: | №1 от 01.01.1988 (рег. 23.06.1987) «Срок действия продлен» №2 от 01.05.1992 (рег. 29.11.1991) «Срок действия продлен» |
|
| Расположен в: |
|