| Обозначение: |  ГОСТ 13042-83 |
| Статус: | действующий |
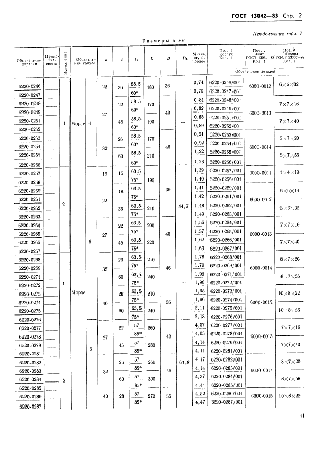
| Название рус.: | Оправки с продольной шпонкой и коническим хвостовиком с лапкой для торцовых фрез. Конструкция и размеры |
| Название англ.: | Arbors wirth ionogitudinal key and tapes claw-ended shank for end cutters. Design and dimensions |
| Дата актуализации текста: | 06.04.2015 |
| Дата актуализации описания: | 01.01.2021 |
| Дата издания: | 14.06.1983 |
| Дата введения: | 01.01.1985 |
| Код ОКП: | 392800 |
| Взамен: | ГОСТ 13042-78 |
| Область применения: | Настоящий стандарт распространяется на оправки с продольной шпонкой и коническим хвостовиком с лапкой для торцовых фрез, применяемые на расточных станках |
|
| Расположен в: |
|