| ||||||||||||||||||||||||||||||||||
 Скачать ГОСТ 13044-85 Оправки для насадных зенкеров и разверток. Конструкция и размерыДата актуализации: 01.06.2025
 | ||||||||||||||||||||||||||||||||||
| Обозначение: | ![]()   ГОСТ 13044-85 | 
| Статус: | действующий | 
| Название рус.: | Оправки для насадных зенкеров и разверток. Конструкция и размеры | 
| Название англ.: | Arbors for shell counterbores and reamers. Design and dimensions | 
| Дата актуализации текста: | 06.04.2015 | 
| Дата актуализации описания: | 01.07.2023 | 
| Дата издания: | 12.08.1985 | 
| Дата введения: | 01.01.1986 | 
| Код ОКП: | 392800 | 
| Взамен: |  ГОСТ 13044-83 | 
| Содержит требования: | СТ СЭВ 4634-84 | 
| Нормативные ссылки: |  ГОСТ 9.073-77; ГОСТ 1050-74; ГОСТ 2789-73; ГОСТ 4543-71; ГОСТ 9472-83; ГОСТ 10549-80; ГОСТ 14034-74; ГОСТ 16093-81; ГОСТ 17166-71; ГОСТ 24644-81; ГОСТ 24705-81 | 
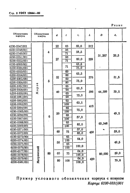
| Область применения: | Настоящий стандарт распространяется на оправки для насадных зенкеров и разверток, применяемые на металлорежущих станках | 
| Расположен в: | |















