Информационная система
«Ёшкин Кот»

Скачать базу одним архивом
Скачать обновления
История создания базы
Карта сайта

Скачать ГОСТ Р 52537-2006 Производство лекарственных средств. Система обеспечения качества. Общие требования

Дата актуализации: 01.06.2025

ГОСТ Р 52537-2006

Производство лекарственных средств. Система обеспечения качества. Общие требования

Обозначение: ГОСТ Р 52537-2006
Статус:действующий
Название рус.:Производство лекарственных средств. Система обеспечения качества. Общие требования
Название англ.:Manufacturing of medicinal product. Quality assurance system. General requirements
Дата актуализации текста:06.04.2015
Дата актуализации описания:01.07.2023
Дата издания:19.05.2006
Дата введения:01.01.2007
Код ОКП:945120
Нормативные ссылки:ГОСТ Р 6.30-2003;ГОСТ Р ИСО 13408-1-2000;ГОСТ Р ИСО 14644-4-2002;ГОСТ Р 52249-2004
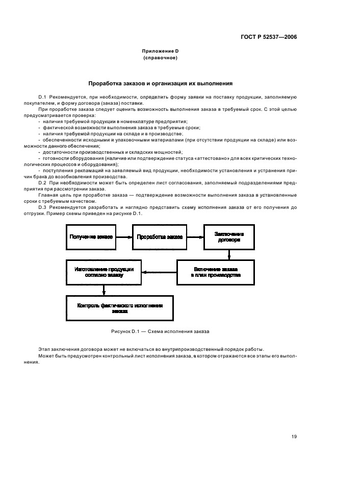
Область применения:Настоящий стандарт устанавливает требования к системе обеспечения качества при производстве лекарственных средств с целью их гарантированного соответствия техническим регламентам, национальным и межгосударственным стандартам, Государственной Фармакопее, другим нормативным документам, стандартам предприятий и специальным требованиям, задаваемым при регистрации лекарственных средств. Стандарт дополняет системообразующий стандарт ГОСТ Р 52249 и детализирует требования к системе обеспечения качества. Конкретные организационные и технические требования к документации, процессам и оборудованию (стерилизация, подготовка воды, технологическое оборудование, чистые помещения и пр.) рассматриваются в других стандартах
Расположен в:Государственные стандарты Общероссийский классификатор стандартов Охрана окружающей среды, защита человека от воздействия окружающей среды. Безопасность Качество воздуха Атмосфера рабочей зоны Классификатор государственных стандартов Здравоохранение. Предметы санитарии и гигиены Оборудование и инструмент медицинских учреждений Материальное оснащение медицинских учреждений Окп Медицинская техника Оборудование медицинское Оборудование санитарно-гигиеническое, средства перемещения и перевозки Оборудование стерилизационное
ГОСТ Р 52537-2006ГОСТ Р 52537-2006ГОСТ Р 52537-2006ГОСТ Р 52537-2006ГОСТ Р 52537-2006ГОСТ Р 52537-2006ГОСТ Р 52537-2006ГОСТ Р 52537-2006ГОСТ Р 52537-2006ГОСТ Р 52537-2006ГОСТ Р 52537-2006ГОСТ Р 52537-2006ГОСТ Р 52537-2006ГОСТ Р 52537-2006ГОСТ Р 52537-2006ГОСТ Р 52537-2006ГОСТ Р 52537-2006ГОСТ Р 52537-2006ГОСТ Р 52537-2006ГОСТ Р 52537-2006ГОСТ Р 52537-2006ГОСТ Р 52537-2006ГОСТ Р 52537-2006ГОСТ Р 52537-2006ГОСТ Р 52537-2006ГОСТ Р 52537-2006ГОСТ Р 52537-2006ГОСТ Р 52537-2006ГОСТ Р 52537-2006ГОСТ Р 52537-2006ГОСТ Р 52537-2006ГОСТ Р 52537-2006ГОСТ Р 52537-2006ГОСТ Р 52537-2006ГОСТ Р 52537-2006ГОСТ Р 52537-2006ГОСТ Р 52537-2006ГОСТ Р 52537-2006ГОСТ Р 52537-2006ГОСТ Р 52537-2006ГОСТ Р 52537-2006ГОСТ Р 52537-2006ГОСТ Р 52537-2006ГОСТ Р 52537-2006ГОСТ Р 52537-2006ГОСТ Р 52537-2006ГОСТ Р 52537-2006ГОСТ Р 52537-2006ГОСТ Р 52537-2006ГОСТ Р 52537-2006ГОСТ Р 52537-2006

© 2013 Ёшкин Кот :-) Карта сайта