Информационная система
«Ёшкин Кот»

Скачать базу одним архивом
Скачать обновления
История создания базы
Карта сайта

Скачать ГОСТ Р 52423-2005 Аппараты ингаляционной анестезии и искусственной вентиляции легких. Термины и определения

Дата актуализации: 01.06.2025

ГОСТ Р 52423-2005

Аппараты ингаляционной анестезии и искусственной вентиляции легких. Термины и определения

Обозначение: ГОСТ Р 52423-2005
Статус:действующий
Название рус.:Аппараты ингаляционной анестезии и искусственной вентиляции легких. Термины и определения
Название англ.:Anaesthetic and respiratory equipment. Terms and definitions
Дата актуализации текста:01.01.2021
Дата актуализации описания:01.01.2021
Дата издания:25.09.2020
Дата введения:01.01.2007
Код ОКП:944460
Содержит требования:ISO 4135:2001
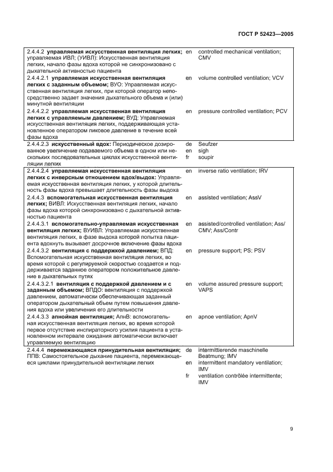
Область применения:Настоящий стандарт устанавливает термины и определения (буквенные обозначения) понятий, относящихся к аппаратам ингаляционой анестезии, аппаратам искусственной вентиляции легких, блокам, частям и системам питания этого оборудования. Термины, установленные настоящим стандартом, обязательны для применения во всех видах документации и литературы в области медицинской техники, предназначенной для проведения ингаляционной анестезии и искусственной вентиляции легких, а также при создании, исследовании и применении соответствующей аппаратуры
Расположен в:Государственные стандарты Общероссийский классификатор стандартов Общие положения. Терминология. Стандартизация. Документация Словари Здравоохранение Классификатор государственных стандартов Здравоохранение. Предметы санитарии и гигиены Общие правила и нормы по здравоохранению Термины и обозначения Окп Медицинская техника Приборы и аппараты медицинские Приборы и аппараты для лечения, наркозные. Устройства для замещения функций органов и систем организма Аппараты ингаляционного наркоза, вентиляции легких, аэрозольтерапии, компенсации и лечения кислородной недостаточности
ГОСТ Р 52423-2005ГОСТ Р 52423-2005ГОСТ Р 52423-2005ГОСТ Р 52423-2005ГОСТ Р 52423-2005ГОСТ Р 52423-2005ГОСТ Р 52423-2005ГОСТ Р 52423-2005ГОСТ Р 52423-2005ГОСТ Р 52423-2005ГОСТ Р 52423-2005ГОСТ Р 52423-2005ГОСТ Р 52423-2005ГОСТ Р 52423-2005ГОСТ Р 52423-2005ГОСТ Р 52423-2005ГОСТ Р 52423-2005ГОСТ Р 52423-2005ГОСТ Р 52423-2005ГОСТ Р 52423-2005ГОСТ Р 52423-2005ГОСТ Р 52423-2005ГОСТ Р 52423-2005ГОСТ Р 52423-2005ГОСТ Р 52423-2005ГОСТ Р 52423-2005ГОСТ Р 52423-2005ГОСТ Р 52423-2005ГОСТ Р 52423-2005ГОСТ Р 52423-2005ГОСТ Р 52423-2005ГОСТ Р 52423-2005ГОСТ Р 52423-2005ГОСТ Р 52423-2005ГОСТ Р 52423-2005ГОСТ Р 52423-2005ГОСТ Р 52423-2005ГОСТ Р 52423-2005ГОСТ Р 52423-2005ГОСТ Р 52423-2005ГОСТ Р 52423-2005ГОСТ Р 52423-2005ГОСТ Р 52423-2005ГОСТ Р 52423-2005

© 2013 Ёшкин Кот :-) Карта сайта