| Обозначение: |    ГОСТ 12521-89 | 
| Статус: | действующий | 
| Название рус.: | Затворы дисковые. Основные параметры | 
| Название англ.: | Batterfly valves. Basic parameters | 
| Дата актуализации текста: | 06.04.2015 | 
| Дата актуализации описания: | 01.07.2023 | 
| Дата издания: | 01.08.2005 | 
| Дата введения: | 01.01.1990 | 
| Код ОКП: | 370000 | 
| Взамен: |  ГОСТ 12521-77; ГОСТ 22222-76 | 
| Нормативные ссылки: |  ГОСТ 9544-93; ГОСТ 15150-69; ГОСТ 24856-81 | 
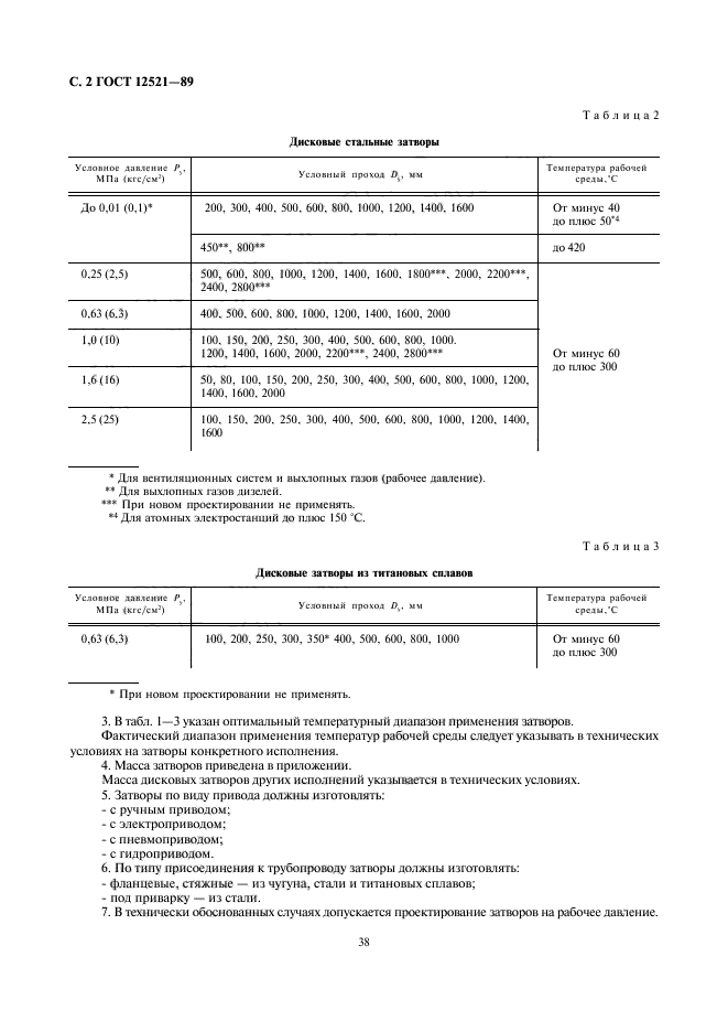
| Область применения: | Настоящий стандарт распространяется на промышленную трубопроводную арматуру - дисковые затворы (герметические клапаны), применяемые в качестве запорных устройств на трубопроводах, на рабочее давление Рр до 00,1 МПа и условное давление Dy от 0,25 до 2,5 МПа с условными проходами Dy от 40 до 2800 мм с температурой рабочей среды от минус 60 до плюс 420 град. С | 
 | 
| Расположен в: | 
  |