| Обозначение: |  ГОСТ 6528-53 |
| Статус: | действующий |
| Название рус.: | Калибры для шлицевых валов и отверстий с эвольвентным профилем. Допуски |
| Название англ.: | Gauges for splined shaft and holes with evolute profile. Tolerances |
| Дата актуализации текста: | 06.04.2015 |
| Дата актуализации описания: | 01.07.2023 |
| Дата издания: | 01.05.2003 |
| Дата введения: | 01.07.1953 |
| Код ОКП: | 393100 |
| Нормативные ссылки: | ГОСТ 6033-51;ОСТ 1012;ОСТ НКМ 1011 |
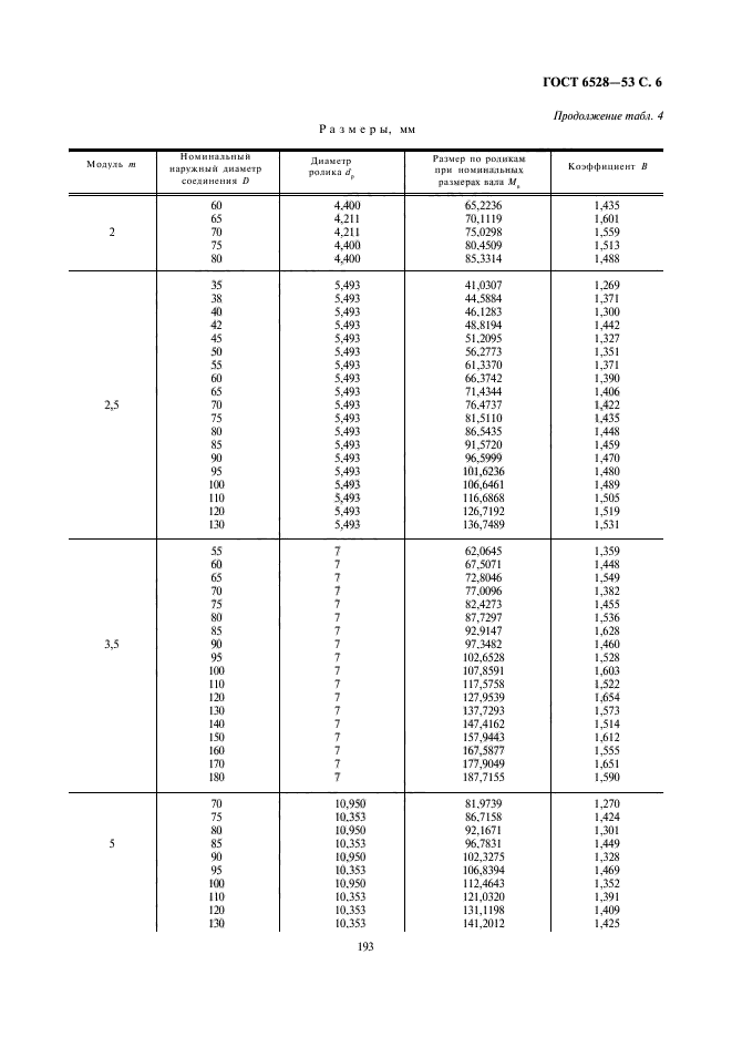
| Область применения: | Настоящий стандарт распространяется на калибры для контроля валов и отверстий шлицевых соединений с номинальным наружным диаметром до 150 мм и с модулем до 5 мм, а также на измерительные ролики для контроля толщины зубьев валов и ширины впадин отверстий всех размеров по ГОСТ 6033-51 |
|
| Расположен в: |
|