| Обозначение: |  ГОСТ 6431-75 |
| Статус: | действующий |
| Название рус.: | Машины пишущие. Расположение клавиш и символов на клавиатуре |
| Название англ.: | Typewriters. Arrangement of keys and symbols on keyboard |
| Дата актуализации текста: | 06.04.2015 |
| Дата актуализации описания: | 01.07.2023 |
| Дата издания: | 01.10.1998 |
| Дата введения: | 01.07.1976 |
| Код ОКП: | 426110 |
| Взамен: | ГОСТ 6431-52 |
| Содержит требования: | СТ СЭВ 3583-82 |
| Нормативные ссылки: | ISO 1090:1981;ISO 1091:1977;ISO 2126:1975;ISO 2530:1975;ISO 3243:1975;ISO 3244:1984;ISO 3791:1976;ISO 4169:1979; ГОСТ 14289-88; ГОСТ 27465-87 |
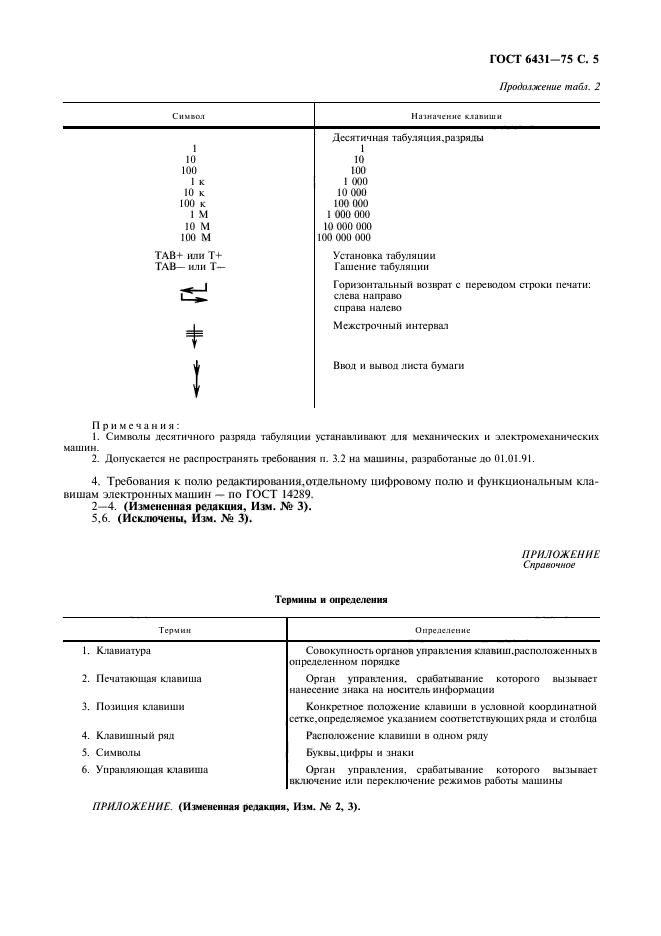
| Область применения: | Настоящий стандарт распространяется на клавиатуры пишущих машин.Стандарт устанавливает расположение основных групп клавиш, шифр и специальных графических символов на этих клавишах, а также расположение на клавиатуре букв русского и латинского алфавитов |
| Список изменений: | №0 от 14.06.1988 (рег. 13.06.1988) «Срок действия продлен» №1 от 01.07.1981 (рег. 27.05.1981) «Срок действия продлен» №2 от 01.01.1984 (рег. 04.04.1983) «Срок действия продлен» №3 от 01.01.1991 (рег. 20.03.1990) «Срок действия продлен» |
|
| Расположен в: |
|