| Обозначение: |  ГОСТ 5359-77 |
| Статус: | действующий |
| Название рус.: | Резьба окулярная для оптических приборов. Профиль и размеры |
| Название англ.: | Ocular screw thread for optical devices. Profile and dimensions |
| Дата актуализации текста: | 06.04.2015 |
| Дата актуализации описания: | 01.01.2021 |
| Дата издания: | 01.11.1984 |
| Дата введения: | 01.01.1979 |
| Код ОКП: | 443500 |
| Взамен: | ГОСТ 5359-50 |
| Нормативные ссылки: | ГОСТ 16967-71 |
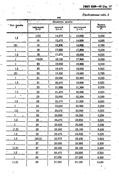
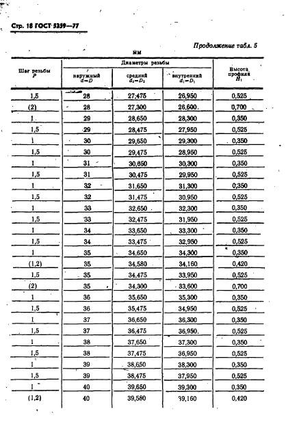
| Область применения: | Настоящий стандарт устанавливает профиль и размеры одно- и многозаходной окулярной резьбы укороченного профиля диаметрами от 5 до 80 мм для резьбовых соединений трубчатых тонкостенных деталей, применяемых в оптическом производстве |
| Список изменений: | №0 от 29.09.1992 (рег. 28.09.1992) «Срок действия продлен» №1 от 01.01.1985 (рег. 29.06.1984) «Срок действия продлен» |
|
| Расположен в: |
|