| Обозначение: |  ГОСТ 3478-79 |
| Статус: | заменён |
| Название рус.: | Подшипники качения. Основные размеры |
| Название англ.: | Rolling bearings. Basic dimensions |
| Дата актуализации текста: | 06.04.2015 |
| Дата актуализации описания: | 01.07.2023 |
| Дата издания: | 01.07.2003 |
| Дата введения: | 01.01.1980 |
| Дата окончания срока действия: | 01.01.2014 |
| Код ОКП: | 460000 |
| Взамен: | ГОСТ 3478-68 |
| Заменяющий: | ГОСТ 3478-2012 |
| Отменен в части: | утратил силу на территории РФ в части шариковых радиальных и радиально-упорных подшипников и роликовых радиальных подшипников, с 01.07.2007 пользоваться ГОСТ Р 52598-2006 |
| Содержит требования: | CT CЭB 402-84;CT CЭB 2795-80 |
| На территории РФ пользоваться: | ГОСТ Р 52598-2006 |
| Нормативные ссылки: | ГОСТ 520-2002; ГОСТ 3189-89; ГОСТ 24955-81 |
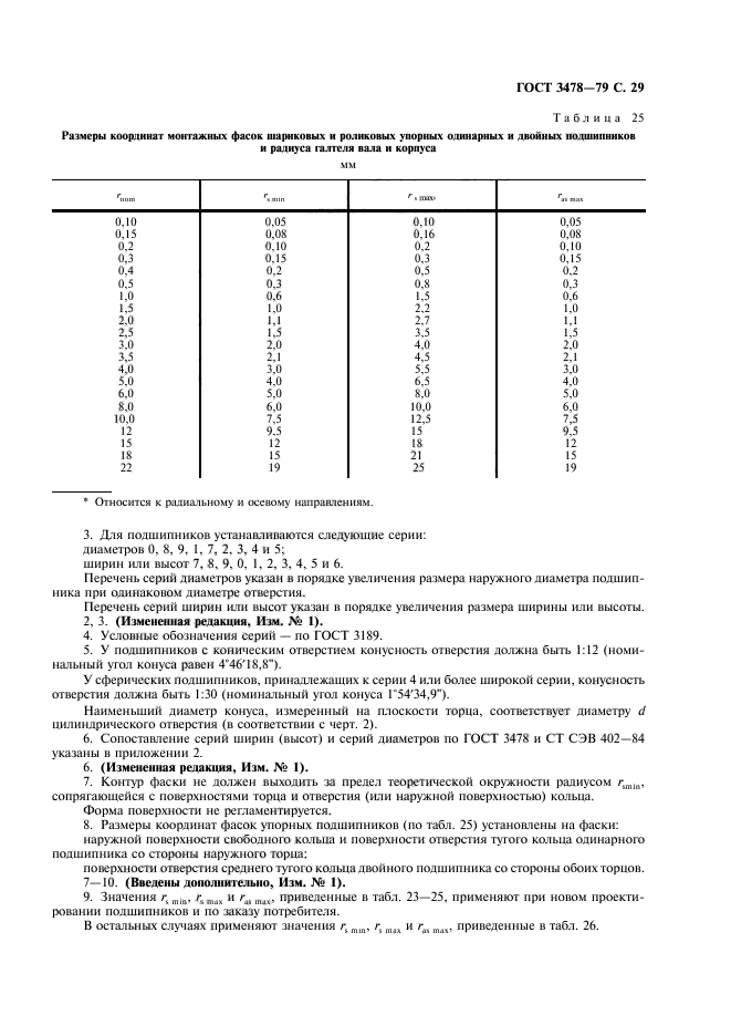
| Область применения: | Настоящий стандарт распространяется на радиальные, радиально-упорные, упорные шариковые и роликовые подшипники качения и устанавливает их основные размеры монтажных фасок и наибольшие предельные радиусы галтелей вала и корпуса |
| Список изменений: | №0 от 30.06.2007 (рег. 28.11.2006) «Поправка к изменению» №1 от 01.01.1987 (рег. 03.04.1986) «Срок действия продлен» №2 от 31.01.1989 (рег. 24.01.1989) «Срок действия продлен» |
|
| Расположен в: |
|