| Обозначение: |    ГОСТ 13110-83 | 
| Статус: | действующий | 
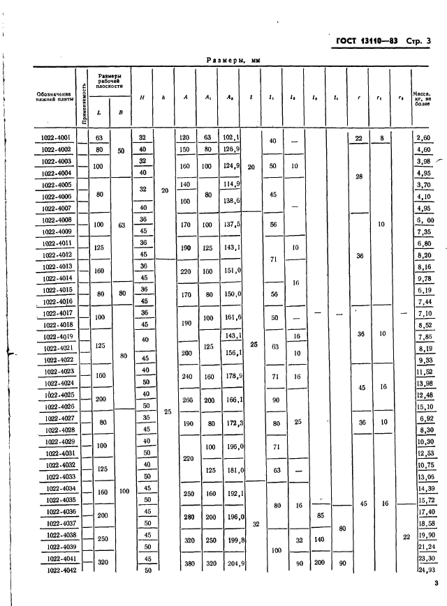
| Название рус.: | Штампы для листовой штамповки. Плиты-заготовки нижние для штампов с диагональным расположением направляющих узлов. Конструкция и размеры | 
| Название англ.: | Sheet stamping dies. Lower plates-blanks for dies with diagonally positioned guide assemblies. Construction and dimensions | 
| Дата актуализации текста: | 06.04.2015 | 
| Дата актуализации описания: | 01.07.2023 | 
| Дата издания: | 01.03.1986 | 
| Дата введения: | 01.07.1984 | 
| Код ОКП: | 396330 | 
| Взамен: |  ГОСТ 13110-75 | 
| Содержит требования: | СТ СЭВ 3325-81 | 
| Область применения: | Настоящий стандарт распространяется на заготовки нижних плит из чугунного и стального литья для штампов с диагональным расположением направляющих узлов | 
 | 
| Расположен в: | 
  |