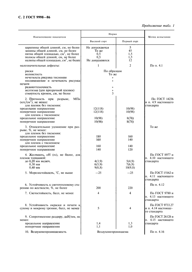
| ||||||||||||||||||||||||||||||||||
Скачать ГОСТ 9998-86 Пленки поливинилхлоридные пластифицированные бытового назначения. Общие технические условияДата актуализации: 01.06.2025
| ||||||||||||||||||||||||||||||||||
| Обозначение: | ![]() ГОСТ 9998-86 |
| Статус: | действующий |
| Название рус.: | Пленки поливинилхлоридные пластифицированные бытового назначения. Общие технические условия |
| Название англ.: | Polyvinylchloride films for household use. General specifications |
| Дата актуализации текста: | 06.04.2015 |
| Дата актуализации описания: | 01.07.2023 |
| Дата издания: | 01.03.2002 |
| Дата введения: | 01.01.1988 |
| Код ОКП: | 872100 |
| Взамен: | ГОСТ 9998-74 |
| Нормативные ссылки: | ГОСТ 12.1.005-88; ГОСТ 8705-78; ГОСТ 8977-74; ГОСТ 8979-75; ГОСТ 9733.27-83; ГОСТ 9780-78; ГОСТ 10719-75; ГОСТ 14236-81; ГОСТ 15162-82; ГОСТ 15875-80; ГОСТ 17035-86; ГОСТ 24104-88; ГОСТ 26128-84; ГОСТ 27175-86 |
| Область применения: | Настоящий стандарт распространяется на поливинилхлоридные пластифицированные пленки бытового назначения на основе поливинилхлорида, изготовленные каландровым методом |
| Список изменений: | №1 от 01.02.1988 (рег. 21.10.1987) «Срок действия продлен» |
| Расположен в: | |










