| Обозначение: |  ГОСТ Р 50257-92 |
| Статус: | отменён |
| Название рус.: | Комбикорма полнорационные для свиней. Общие технические условия |
| Название англ.: | Complete mixed feed for pigs. General specifications |
| Дата актуализации текста: | 06.04.2015 |
| Дата актуализации описания: | 01.07.2023 |
| Дата издания: | 01.02.2002 |
| Дата введения: | 01.01.1994 |
| Дата окончания срока действия: | 01.01.2019 |
| Код ОКП: | 929612 |
| Взамен: | ОСТ 8-20-77 |
| На территории РФ пользоваться: | ГОСТ 34109-2017 |
| Нормативные ссылки: | ГОСТ 13496.0-80; ГОСТ 13496.1-89; ГОСТ 13496.2-84; ГОСТ 13496.3-80; ГОСТ 13496.4-84; ГОСТ 13496.7-87; ГОСТ 13496.8-72; ГОСТ 13496.9-73; ГОСТ 13496.13-75; ГОСТ 13496.14-87; ГОСТ 22834-87; ГОСТ 23462-79; ГОСТ 26570-85; ГОСТ 26657-85; ГОСТ 28078-89 |
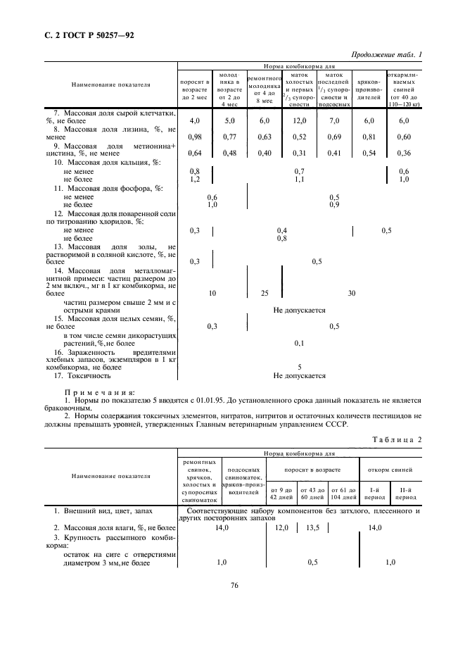
| Область применения: | Настоящий стандарт распространяется на полнорационные комбикорма для хряков-производителей, холостых, супоросных и подсосных маток, поросят до 2- и от 2- до 4-месячного возраста, ремонтного молодняка и откармливаемых свиней, выращиваемых в хозяйствах, а также для свиней, выращиваемых и откармливаемых в промышленных животноводческих комплексах. В стандарте изложены требования к безопасности продукции для жизни и здоровья животных |
| Список изменений: | №0 от 01.01.2019 (рег. 13.09.2017) «Текстовое изменение; Изменено заглавие» |
|
| Расположен в: |
|