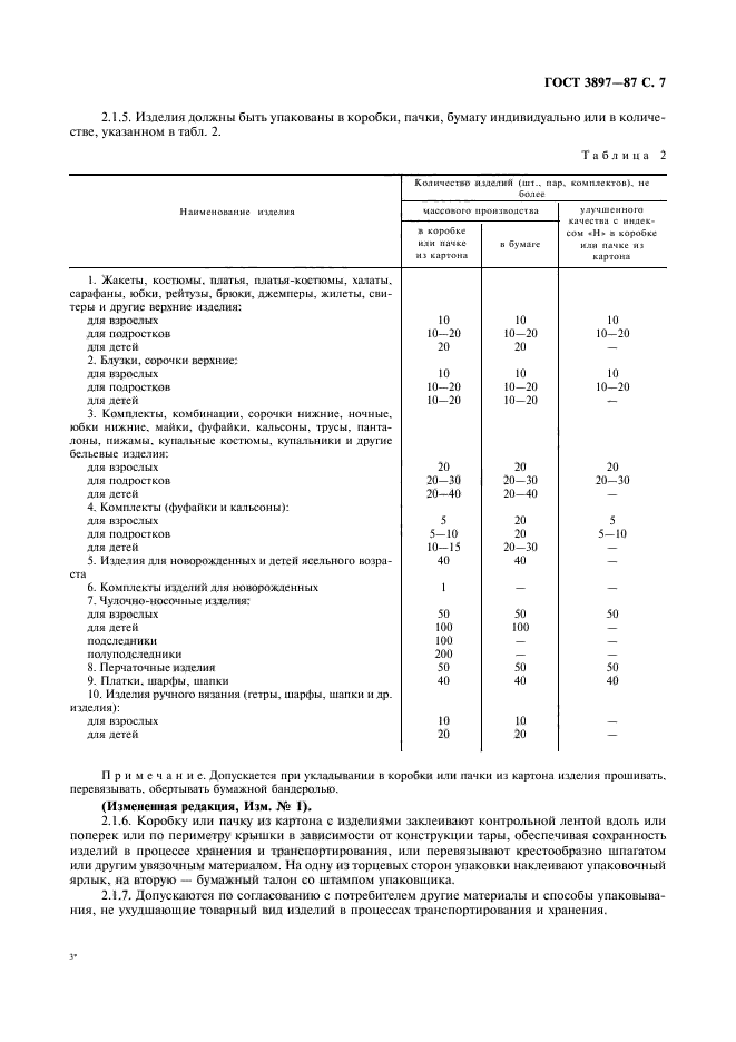
| ||||||||||||||||||||||||||||||||||||||||||||||||||
Скачать ГОСТ 3897-87 Изделия трикотажные. Маркировка, упаковка, транспортирование и хранениеДата актуализации: 01.06.2025
| ||||||||||||||||||||||||||||||||||||||||||||||||||
| Обозначение: | ![]() ГОСТ 3897-87 |
| Статус: | заменён |
| Название рус.: | Изделия трикотажные. Маркировка, упаковка, транспортирование и хранение |
| Название англ.: | Knitted garments. Marking, packing, transportation and storage |
| Дата актуализации текста: | 01.01.2021 |
| Дата актуализации описания: | 01.07.2023 |
| Дата издания: | 01.01.2008 |
| Дата введения: | 01.07.1989 |
| Дата окончания срока действия: | 01.07.2016 |
| Код ОКП: | 840000 |
| Заменяющий: | ГОСТ 3897-2015 |
| Взамен в части: | ГОСТ 10581-82 в части трикотажных изделий |
| Нормативные ссылки: | ГОСТ 6290-74; ГОСТ 7625-86; ГОСТ 7730-89; ГОСТ 7933-89; ГОСТ 8273-75; ГОСТ 9078-84; ГОСТ 9094-89; ГОСТ 10350-81; ГОСТ 10354-82; ГОСТ 11600-75; ГОСТ 12301-2006; ГОСТ 12303-80; ГОСТ 13514-93; ГОСТ 14192-96; ГОСТ 15846-2002; ГОСТ 16825-2002; ГОСТ 16958-71; ГОСТ 17037-85 ; ГОСТ 18251-87; ГОСТ 18510-87; ГОСТ 21650-76; ГОСТ 24597-81; ГОСТ 26623-85;СТ СЭВ 2673-80;СТ СЭВ 3443-81;ТУ 17 УССР 3737-84 |
| Область применения: | Настоящий стандарт распространяется на все виды готовых трикотажных изделий. Стандарт не распространяется на изделия для военнослужащих Вооруженных Сил СССР, сотрудников органов МВД СССР и КГБ СССР, а также изделия, изготовляемые по лицензиям, для экспорта и по международным кооперированным поставкам |
| Список изменений: | №0 от 02.05.2006 (рег. 02.05.2006) «Дата введения перенесена» №0 от 07.05.2013 (рег. 07.05.2013) «Дата введения перенесена» №1 от 01.01.1990 (рег. 04.05.1989) «Срок действия продлен» №2 от 01.11.1991 (рег. 25.04.1991) «Срок действия продлен» |
| Приложение №1: | Поправка к ГОСТ 3897-87 |
| Приложение №2: | Поправка к ГОСТ 3897-87 |
| Расположен в: | |




















| Обозначение: | Поправка к ГОСТ 3897-87 |
| Дата введения: | 03.05.2006 |

| Обозначение: | Поправка к ГОСТ 3897-87 |
| Дата введения: | 08.05.2013 |
