| Обозначение: |  ГОСТ ИСО 4209-1-2006 |
| Статус: | действующий |
| Название рус.: | Шины и ободья для грузовых автомобилей и автобусов (метрические серии). Часть 1. Шины |
| Название англ.: | Truck and bus tyres and rims (metric series). Part 1. Tyres |
| Дата актуализации текста: | 06.04.2015 |
| Дата актуализации описания: | 01.07.2023 |
| Дата регистрации: | 07.12.2006 |
| Дата издания: | 23.07.2007 |
| Дата введения: | 01.01.2009 |
| Код ОКП: | 252110 |
| Взамен: | ГОСТ 28837-90 |
| Аутентичен стандартам: | ISO 4209-1:2001 |
| Нормативные ссылки: | ISO 4209-2:2001;ISO 4223-1:1989 |
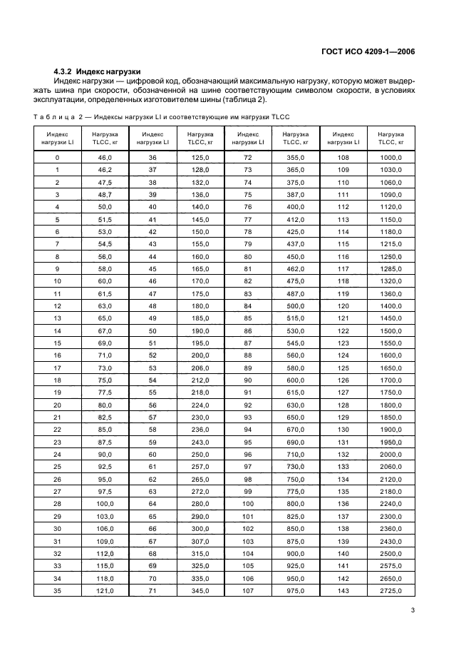
| Область применения: | Настоящий стандарт устанавливает обозначения, размеры и номинальные нагрузки шин метрических серий, предназначенных преимущественно для грузовых автомобилей и автобусов. Стандарт распространяется на диагонально-опоясанные, диагональные и радиальные шины для грузовых автомобилей и автобусов, монтируемые на ободья с углом наклона посадочных полок 5 град. и 15 град. (глубокие ободья) |
|
| Расположен в: |
|