| ||||||||||||||||||||||||||||||||||||||
Скачать ГОСТ Р 52597-2006 Прутки латунные для обработки резанием на автоматах. Технические условияДата актуализации: 01.06.2025
| ||||||||||||||||||||||||||||||||||||||
| Обозначение: | ![]() ГОСТ Р 52597-2006 |
| Статус: | действующий |
| Название рус.: | Прутки латунные для обработки резанием на автоматах. Технические условия |
| Название англ.: | Brass rods for free machining purposes. Specifications |
| Дата актуализации текста: | 01.01.2021 |
| Дата актуализации описания: | 01.07.2023 |
| Дата издания: | 24.01.2007 |
| Дата введения: | 01.01.2008 |
| Код ОКП: | 184570 |
| Нормативные ссылки: | ГОСТ 427-75; ГОСТ 701-89; ГОСТ 1012-72; ГОСТ 1497-84; ГОСТ 1652.1-77; ГОСТ 1652.2-77; ГОСТ 1652.3-77; ГОСТ 1652.4-77; ГОСТ 1652.5-77; ГОСТ 1652.6-77; ГОСТ 1652.7-77; ГОСТ 1652.8-77; ГОСТ 1652.9-77; ГОСТ 1652.10-77; ГОСТ 1652.11-77; ГОСТ 1652.12-77; ГОСТ 1652.13-77; ГОСТ 1770-74; ГОСТ 2184-77; ГОСТ 2991-85; ГОСТ 3282-74; ГОСТ 3560-73; ГОСТ 3773-72; ГОСТ 4204-77; ГОСТ 4328-77; ГОСТ 4520-78; ГОСТ 4521-78; ГОСТ 4658-73; ГОСТ 6507-90; ГОСТ 6709-72; ГОСТ 7502-98; ГОСТ 9557-87; ГОСТ 9716.1-79; ГОСТ 9716.2-79; ГОСТ 9716.3-79; ГОСТ 10198-91; ГОСТ 10929-76; ГОСТ 14192-96; ГОСТ 15102-75; ГОСТ 15527-2004; ГОСТ 15846-2002; ГОСТ 18300-87; ГОСТ 18321-73; ГОСТ 20435-75; ГОСТ 21140-88; ГОСТ 21650-76; ГОСТ 24047-80; ГОСТ 24231-80; ГОСТ 24597-81; ГОСТ 25336-82; ГОСТ 25706-83; ГОСТ 26663-85; ГОСТ Р 53228-2008; ГОСТ Р ИСО 2859-1-2007; ГОСТ 22235-2010; ГОСТ 26877-2008 |
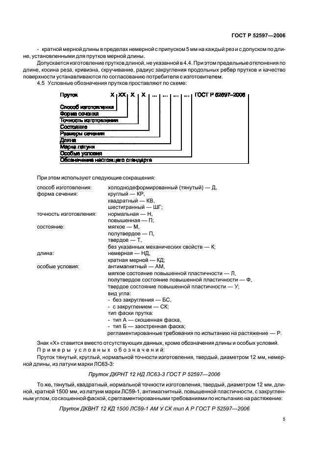
| Область применения: | Настоящий стандарт распространяется на латунные тянутые прутки круглого, квадратного и шестигранного сечений, поставляемые в прямых отрезках, специально предназначенные для обработки резанием на автоматах. Стандарт устанавливает сортамент, технические требования, правила приемки, методы контроля и испытаний, маркировку, упаковку, транспортирование и хранение прутков |
| Список изменений: | №1 от 30.09.2014 (рег. 22.11.2013) «Текстовое изменение; Изменены ссылочные НД» |
| Приложение №1: | Изменение №1 к ГОСТ Р 52597-2006 |
| Расположен в: | |
























| Обозначение: | Изменение №1 к ГОСТ Р 52597-2006 |
| Дата введения: | 01.10.2014 |
