| ||||||||||||||||||||||||||||||||||
Скачать ГОСТ 11871-88 Гайки круглые шлицевые. Технические условияДата актуализации: 01.06.2025
| ||||||||||||||||||||||||||||||||||
| Обозначение: | ![]() ГОСТ 11871-88 |
| Статус: | действующий |
| Название рус.: | Гайки круглые шлицевые. Технические условия |
| Название англ.: | Slotted round nuts, product grade A. Specifications |
| Дата актуализации текста: | 06.04.2015 |
| Дата актуализации описания: | 01.07.2023 |
| Дата издания: | 01.11.2006 |
| Дата введения: | 01.01.1989 |
| Код ОКП: | 168000 |
| Взамен: | ГОСТ 11871-80 |
| Содержит требования: | СТ СЭВ 5957-87 |
| Нормативные ссылки: | ГОСТ 9.301-86; ГОСТ 9.302-88; ГОСТ 9.303-84; ГОСТ 380-94; ГОСТ 1050-88; ГОСТ 1759.0-87; ГОСТ 1759.1-82; ГОСТ 1759.3-83; ГОСТ 2999-75; ГОСТ 4543-71; ГОСТ 5632-72; ГОСТ 8908-81; ГОСТ 9013-59; ГОСТ 9378-93; ГОСТ 15527-2004; ГОСТ 16093-2004; ГОСТ 17769-83; ГОСТ 18160-72; ГОСТ 24643-81; ГОСТ 24705-2004 |
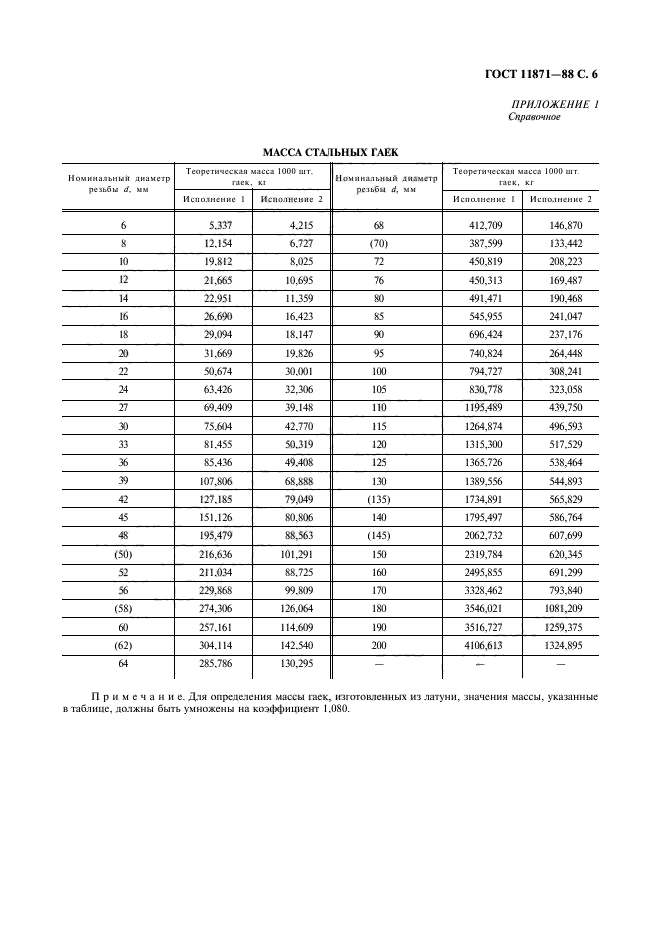
| Область применения: | Настоящий стандарт распространяется на круглые шлицевые гайки с номинальным диаметром резьбы от 6 до 200 мм |
| Расположен в: | |







