| Обозначение: |  ГОСТ Р 52179-2003 |
| Статус: | отменён |
| Название рус.: | Маргарины, жиры для кулинарии, кондитерской, хлебопекарной и молочной промышленности. Правила приемки и методы контроля |
| Название англ.: | Margarines, cooking fats, fats for confectionery, baking and dairy industry. Sampling rules and methods of control |
| Дата актуализации текста: | 06.04.2015 |
| Дата актуализации описания: | 01.07.2023 |
| Дата издания: | 09.02.2010 |
| Дата введения: | 01.01.2005 |
| Дата окончания срока действия: | 15.02.2015 |
| На территории РФ пользоваться: | ГОСТ 32189-2013 |
| Нормативные ссылки: | ГОСТ 8.135-2004; ГОСТ 12.1.007-76; ГОСТ 12.1.018-93; ГОСТ 12.1.019-79; ГОСТ 400-80; ГОСТ 1277-75; ГОСТ 1770-74; ГОСТ 3118-77; ГОСТ 4166-76; ГОСТ 4204-77; ГОСТ 4207-75; ГОСТ 4220-75; ГОСТ 4234-77; ГОСТ 4328-77; ГОСТ 4459-75; ГОСТ 5541-2002; ГОСТ 6709-72; ГОСТ 6824-96; ГОСТ 9147-80; ГОСТ 10733-98; ГОСТ 12026-76; ГОСТ 14261-77; ГОСТ 14919-83; ГОСТ 16299-78; ГОСТ 18300-87; ГОСТ 19213-73; ГОСТ 20288-74; ГОСТ 22524-77; ГОСТ 24104-2001; ГОСТ 24363-80; ГОСТ 25336-82; ГОСТ 25794.1-83; ГОСТ 25794.3-83; ГОСТ 26593-85; ГОСТ 28414-89; ГОСТ 28498-90; ГОСТ 29169-91; ГОСТ 29227-91; ГОСТ 29251-91; ГОСТ 30178-96; ГОСТ 30417-96; ГОСТ 30418-96; ГОСТ 30623-98; ГОСТ Р 50779.10-2000; ГОСТ Р 52062-2003; ГОСТ Р 52110-2003 |
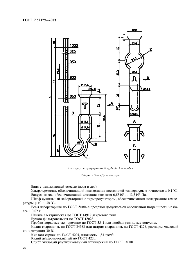
| Область применения: | Настоящий стандарт распространяется на маргарины, сливочно-растительные спреды и сливочно-растительные топленые смеси, жиры, предназначенные для кулинарии, кондитерской, хлебопекарной и молочной промышленности, и устанавливает правила приемки и методы: - определения цвета, запаха и вкуса; определения консистенции; определения прозрачности твердого жира; - определения массовой доли влаги и летучих веществ; определения кислотного числа жира; определения кислотности маргарина; определения массовой доли жира; измерения температуры плавления жира; измерения температуры застывания жира; измерения твердости жира; определения массовой доли поваренной соли в маргарине; определения массовой доли линолевой кислоты в маргарине; определения массовой доли транс-изомеров олеиновой кислоты; определения массовой доли витаминов в маргарине; определения массовой доли консервантов в маргарине; определения массовой доли твердых триглицеридов; определения перекисного числа; определения массовой концентрации никеля; измерения рН маргарина |
| Список изменений: | №0 от 24.08.2005 (рег. 24.08.2005) «Дата введения перенесена» №0 от 12.05.2009 (рег. 12.05.2009) «Дата введения перенесена» №0 от 31.08.2009 (рег. 31.08.2009) «Дата введения перенесена» №0 от 20.11.2009 (рег. 20.11.2009) «Дата введения перенесена» №0 от 15.02.2015 (рег. 28.10.2013) «Текстовое изменение; Изменено заглавие» |
| Приложение №1: | Поправка к ГОСТ Р 52179-2003 |
| Приложение №2: | Поправка к ГОСТ Р 52179-2003 |
| Приложение №3: | Поправка к ГОСТ Р 52179-2003 |
| Приложение №4: | Поправка к ГОСТ Р 52179-2003 |
| Приложение №5: | Поправка к ГОСТ Р 52179-2003 |
| Приложение №6: | Поправка к ГОСТ Р 52179-2003 |
| Приложение №7: | Поправка к ГОСТ Р 52179-2003 |
|
| Расположен в: |
|