| Обозначение: |  ГОСТ Р 51318.11-2006 |
| Статус: | отменён |
| Название рус.: | Совместимость технических средств электромагнитная. Промышленные, научные, медицинские и бытовые (ПНМБ) высокочастотные устройства. Радиопомехи индустриальные. Нормы и методы измерений |
| Название англ.: | Electromagnetic compatibility of technical equipment. Industrial, scientific, medical and domestic (ISMD) high-frequency equipment. Radio disturbance. Limits and methods of measurement |
| Дата актуализации текста: | 01.01.2021 |
| Дата актуализации описания: | 01.07.2023 |
| Дата издания: | 26.10.2020 |
| Дата введения: | 01.07.2007 |
| Дата окончания срока действия: | 01.07.2023 |
| Содержит требования: | CISPR 11 (2004) |
| На территории РФ пользоваться: | ГОСТ CISPR 11-2017 |
| Нормативные ссылки: | ГОСТ Р 51319-99; ГОСТ Р 51320; ГОСТ 12.1.006; ГОСТ 7396.1; ГОСТ 30372; ГОСТ 30804.6.3-2013; ГОСТ 30804.6.4-2013;ГОСТ CISPR 15-2014;ГОСТ CISPR 16-4-2; ГОСТ Р 55055-2012 |
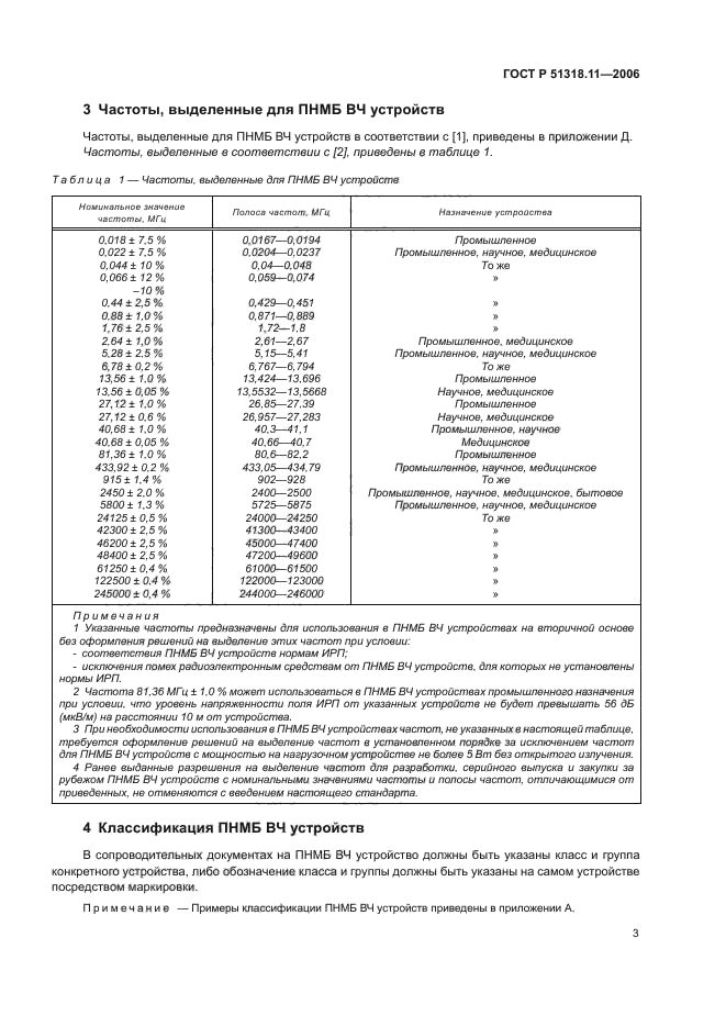
| Область применения: | Настоящий стандарт распространяется на высокочастотные устройства промышленного, научного, медицинского, а также бытового назначения, оборудование электроэрозионной обработки, аппараты дуговой сварки и устанавливает нормы индустриальных радиопомех и методы измерений |
| Список изменений: | №1 от 01.03.2013 (рег. 27.12.2012) «Текстовое изменение; Изменены ссылочные НД» |
| Приложение №1: | Изменение №1 к ГОСТ Р 51318.11-2006 |
|
| Расположен в: |
|